Får fram fel svar, vart tänker jag fel?
Uppgiften är:

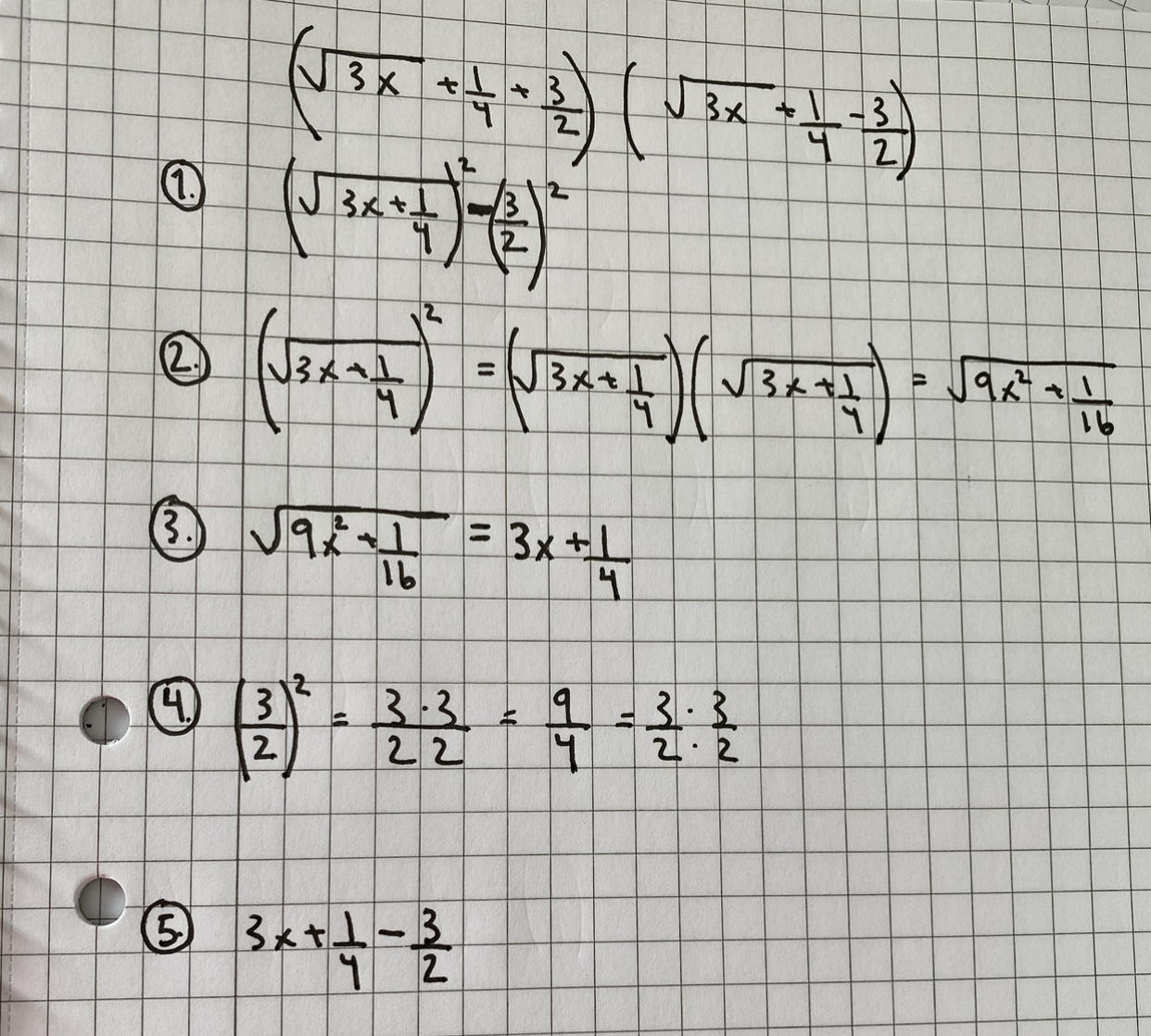
min uträkning: (som är fel)

Rottecknet inkluderar även +1/4.
Steg 2 är fel i vilket fall som helst. (a+b)2 är inte a2+b2.
Jaha okej, men jag får fortfarande fram samma att räkna ut:

Steg 2 innehåller fortfarande det fel som Laguna påpekade.
(a+b)2 = a2 + 2ab +b2
Första kvadreringsregeln eller vad du får om du multiplicerar ihop (a+b)(a+b).
Och är inte a + b (steg 3).
Men vad är ()2?
Edit: Jag ser nu att du genom dubbelfelet faktiskt får rätt på 3x + .
Men (3/2)2 (steg 4) är på slutet (steg 5) bara 3/2. Annars hade du fått facits svar (fast genom ett dubbelfel som du sluppit om du använt att kvadraten på en rot är det som står under rottecknet).
okej tack, men tycker det blir svårare att räkna fram om jag ska använda första kvadreringsregeln på 2. Det blir mer förvirrande, bokens förklaring är så här:

**Det är allt som står i förklaringen.
Jag menade inte att du skulle använda första kvadreringsregeln i uppgiften, utan att du själv använde den felaktigt. Alltså att du bör repetera den regeln så att du kan använda den rätt där den behövs. Se #4.
I den här uppgiften är det en rot som kvadreras, och då blir resultatet det som boken visar:
helt enkelt det som står under rottecknet.
Är det något i bokens lösning som du inte är med på?
Ett tips är också att den lösning som boken visar, där allt skrivs som en sammanhängande kedja, är lättare att följa än när lösningen styckats upp i olika delar, som dina steg 1-5.
Okej tack. Ja från det näst sista steget fram till svaret, hur räknar dom fram det, alltså till 3x-2 alltså steg för steg:
(Roten ur: 3x+1/4)^2 det är ju: (Roten ur: 3x+1/4)(Roten ur: 3x+1/4) visst kan jag också köra: (a+b)^2= a^2 +2ab+b^2 men det ska bli samma svar om man räknar fram ett svar. Det jag menar är hur går dom från (Roten ur: 3x+1/4)^2 till 3x+1/4 - 9/4. För jag tänker ju att (Roten ur: 3x+1/4)^2 blir: (Roten ur: 9x^2+1/16) sen ska jag förenkla detta så då blir det ju 3x+1/4 så det hänger jag med på. och (3/2)^2 blir ju 3/2 och sätter jag då ihop det, så blir det: 3x+1/4-3/2, som jag sen ska räkna fram och jag får då 3x-1
Av någon anledning är det enklare för mig att "se" stegen när jag delar upp det så där som jag gjort, så det är mer därför jag gör det.
Naturens skrev[...]
(Roten ur: 3x+1/4)^2 det är ju: (Roten ur: 3x+1/4)(Roten ur: 3x+1/4)
Ja, det stämmer
visst kan jag också köra: (a+b)^2= a^2 +2ab+b^2
Nej, här kan du inte göra det, pga att rotenurtecknen är "i vägen".
men det ska bli samma svar om man räknar fram ett svar. Det jag menar är hur går dom från (Roten ur: 3x+1/4)^2 till 3x+1/4 - 9/4. För jag tänker ju att (Roten ur: 3x+1/4)^2 blir: (Roten ur: 9x^2+1/16)
Nej, det stämmer inte. Det gäller inte att .
Vi börjar med ett enklare exempel:
Är du med på att ?
Är du med på att det betyder att ?
Är du med på att det betyder att
?
sen ska jag förenkla detta så då blir det ju 3x+1/4 så det hänger jag med på. och (3/2)^2 blir ju 3/2
Nej, det gäller att
och sätter jag då ihop det, så blir det: 3x+1/4-3/2, som jag sen ska räkna fram och jag får då 3x-1
Nej, det blir
Tack för förklaringen, jag hänger med nu.