Får inte fram rätt svar
Hej, jag har fastnat på en uppgift. Detta är nog den dummaste frågan jag ställt här på pluggakuten men jag kan inte få rätt svar efter att ha slagit en funktion på miniräknaren. Nollpunkterna är -9 och 3. Jag ska göra ett teckenschema för att ta reda på vilket som är en maximi- och minimipunkt. Så jag gjorde det. När jag räknade ut lutningen för derivatan fick jag rätt. + -9 - 3 + men inte när jag ska ta reda på f(x). För något mindre än -9 använde jag -10. Dock får jag ett negativt svar så jag måste ha slagit fel FLERA GÅNGER. Kan någon skriva ut sin uträkning på f(-10) här? Saken är täljaren blir positiv men nämnaren negativ, så jag förstår inte riktigt.

f(10) = (100-50+12)/13 = 62/13
f(-10) = (100+50+12)/-7 = -162/7
Så här ser grafen (blå) och dess derivata (gul) ut

f(-10) = (100+50+12)/-7 = -162/7
Jag fick samma sak. Men det här stämmer ju inte överens med teckenschemat för f’(-10) är positivt och f(-10) är negativt. Sedan hur gör jag detta algebraiskt?
Hejsan266 skrev:
f(-10) = (100+50+12)/-7 = -162/7
Jag fick samma sak. Men det här stämmer ju inte överens med teckenschemat för f’(-10) är positivt och f(-10) är negativt. Sedan hur gör jag detta algebraiskt?
Du skall få 
Täljaren i f'(x) har två nollställen

Då kan du faktorisera täljren som
(x-3)(x+9)
Skriv upp ditt teckenschema med "brytpunkterna": -9, -3 (singulär punkt) och 3
Notera ingående faktorer på varje rad och sätt ut + och –
Sedan blir det lätt att tolka schemat.
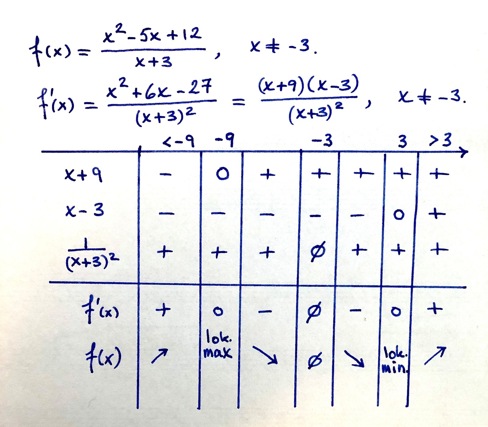
Jag förstår fortfarande inte. Tror du att du kan rita upp teckenschemat?
Hejsan266 skrev:Jag förstår fortfarande inte. Tror du att du kan rita upp teckenschemat?
Typ
