1
svar
148
visningar
Sura98 behöver inte mer hjälp
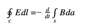
Faradays lag
Hur vet vi att högerledet på faraday's lag gäller för alla ytor?
Min lösning är:
Eftersom = 0, linjeintegralen av E över vilken sluten yta som helst enligt stokes teorem göra att integralen är väg oberoende främst för att den startar och slutar vid samma punkt. Från Mawells ekvationer vet vi att
Eftersom vi vill att detta ska gälla för alla slutna kurvor c kan vi använda oss av Stokes sats kan man skriva om ekvationen till integralform då detta kommer gälla för alla möjliga kurvor.
Tänker jag rätt?
Hur kan enbart ett högerled gälla? Vad är det som gäller för alla ytor S?
Menar du hur vi vet att Kelvin-Stokes formulering av Faradays lag på integralform är sann?