1
svar
145
visningar
Fastkroppsfysik
Känner att det inom fastkroppsfysik är många formler att komma ihåg utantill. Finns det någon formel man bör utgå från, där man sedan kan härleda till önskade storheter?
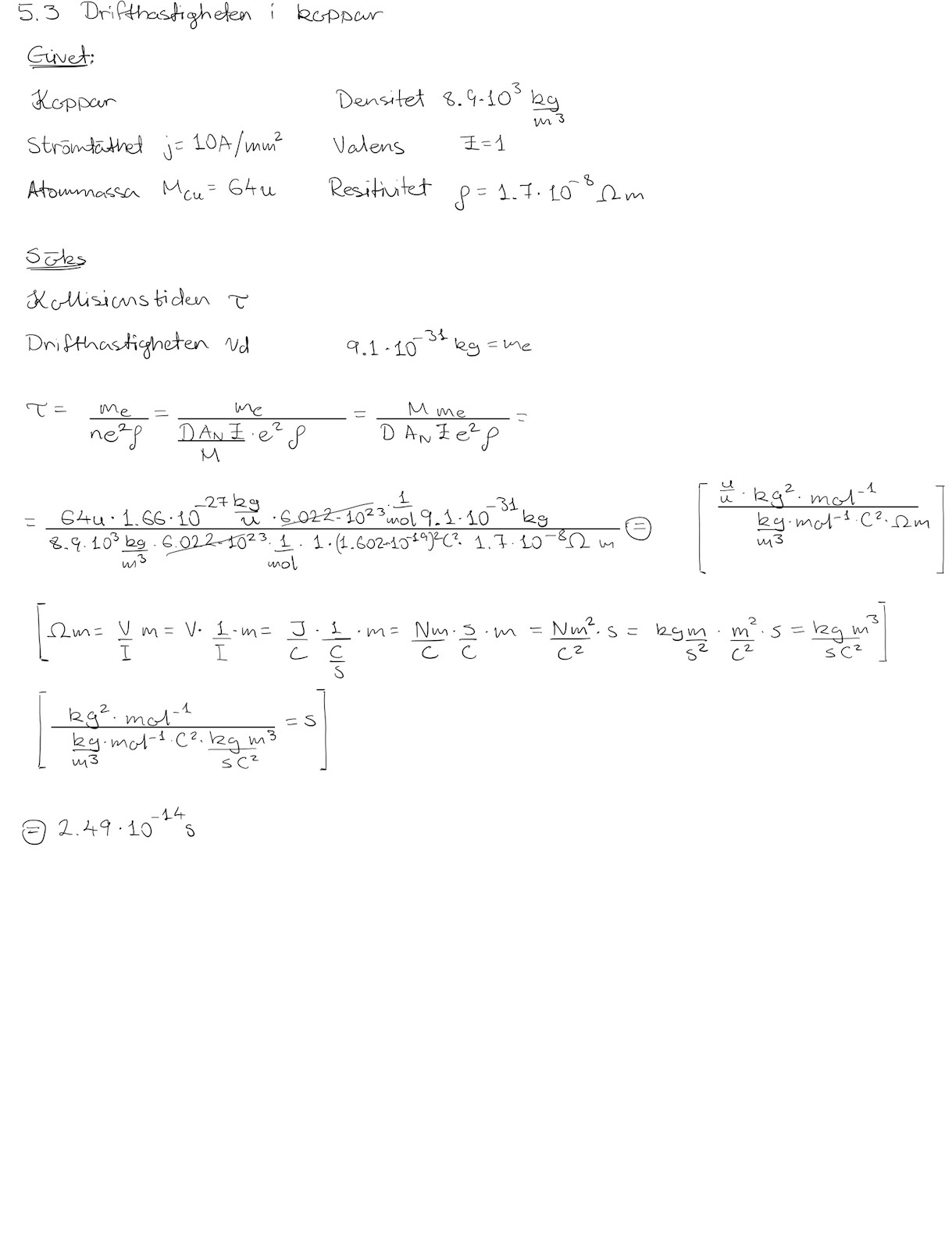
En annan fråga jag har är till den uppgiften jag har löst nedan. Ska det inte gå att göra på ett enklare sätt? Jag menar, bara att göra en enhetsanalys var en uppgift i sig.


Cien skrev:
Ska det inte gå att göra på ett enklare sätt?
Jovisst, det har jag redan visat dig:
https://www.pluggakuten.se/trad/drifthastighet/?order=all#post-b2e1e024-3bd3-4ca1-bba5-b0d3014cbf45