fasvinkelskillnad
Hej, jag försöker räkna ut fasasvinkelskillnaden mellan Uut och Uin i grader. Dock är lite förrvirad om denna formel är korrekt att använda ϕ = - arctan .
Jag har nämligen även stött på formeln ϕ = - arctan(wRC), vet inte vilken som är korrekt och när jag ska använda den ena eller andra.
Hej!
Finns det en figur? Hur man räknar ut fasvinkelskillnaden beror på kretsens utseende.
Hej, ja så här ser figuren ut. tanken är att jag ska testa f för = 10Hz, 100 Hz och så vidare 
Har ni lärt er ji-åmega-metoden? Isåfall kan du teckna Uut/Uin, vilket blir ett komplext tal som du kan skriva på polär form.
Då ser man hur man ska beräkna fasvinkelskillnaden.
ja juste okej, när jag testar med den metoden för f = 10 Hz får jag fram att fasvinkelskillnaden då blir - 0,36 grader. kan detta stämma?
Det borde bli nästan 90° fasskillnad. Ser du varför?
JohanF skrev:Det borde bli nästan 90° fasskillnad. Ser du varför?
Ja, då förstår jag nu får jag - 89,7 °, är det korrekt att det blir negativt?
Jan Ragnar skrev:
Tack för förklaringen, hade det varit samma sak om kondensatorn och resistorn byter plats?
Nej fasskillnaden ska vara positiv:

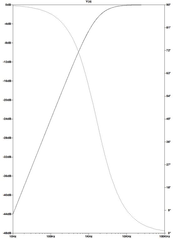
Den streckade linjen är fasen. Du kan se i uttrycket att för låga w så blir wRC<<1 så det blir nästan helt imaginärt, +90 grader från reella axeln
Om du byter plats på R och C får du ett lågpassfilter som beter sig så här:

Det blir: När w är stort blir jwRC >> 1
okej då hänger jag med så för kretsen som är ett HP - filter bör beräkningarna bli så här?
- 10 Hz: 89,7°
- 100 Hz: 86,3°
- 1 000 Hz: 58,1° ..., o.s.v
och sedan för ett LP filtret undrar jag om jag tänker rätt för är osäker. tänker att utsignalen för uppgiften ligger efter insignalen, och då tror jag det ska bli negativa svar? så exempelvis ϕ = - arctan ( ) = - 0.57° eller är det ϕ = - arctan ( 1 / ( 2π*10 Hz * 1600 Ω * 100*10^-9 F )) = - 89°
Jag tycker det lätt brukar bli missförstånd då man pratar om positiv eller negativ skillnad mellan två företeelser (själv blir jag iallafall förvirrad). Lite lättare att beskriva vilken spänning som ligger före och vilken som kommer efter.
Uin ligger till största ligger över kondensatorn (vid låga frekvenser) och spänningen kommer efter strömmen över en kondensator. Uut ligger enbart över resistorn, och spänning över en resistor kommer samtidigt med strömmen.
Alltså kommer Uut före Uin (med nästan 90 grader vid låga frekvenser)
Nu förstår jag tack så mycket för hjälpen
Vad bra!

