Feedback på exempeluppgifter

Hej! Skulle uppskatta feedback på denna provfråga jag löst. Det var en A-fråga från ett gammalt kursprov men jag tyckte ändå den var relativt enkel för att vara en A-fråga. Blev ombedd i en tidigare tråd då jag eftersökte utveckling i ämnet fysik. Vad har jag gjort bra/dåligt? Vad kan jag göra bättre?
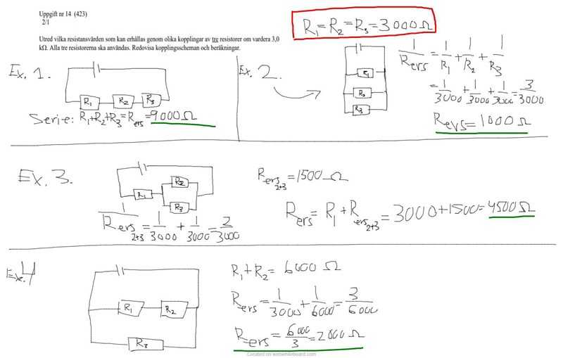
Jag tycker att det är en bra lösning.
Tydliga figurer, tydliga beräkningar och korrekta resultat.
Däremot saknar jag ett fall, nämligen det där är seriekopplad med och dessa i sin tur är parallellkopplade med .
Yngve skrev:Jag tycker att det är en bra lösning.
Tydliga figurer, tydliga beräkningar och korrekta resultat.
Däremot saknar jag ett fall, nämligen det där är seriekopplad med och dessa i sin tur är parallellkopplade med .
Woops. Missade den, antog att det skulle bli samma resistans som ex. 3 (utan att göra några beräkningar...)
Tycker också att den är bra även om jag skulle efterfråga lite begreppsanvändning i text såsom att bara säga "komponenterna är seriekopplade varför..." osv.
Också. En lösning blir inte bättre bara för att den är mer algebraisk men det kan vara värt att öva på att konstruera algebraiska uttryck för elektriska kretsar. I Ex.3 kan man exempelvis låta R beteckna 3000 Ohm och man kan skriva
Dessa uttryck gör det lite tydligare att effekten av att parallellkoppla tre lika motstånd är att ersättningsresistansen blir en tredjedel av delarnas motstånd. Nu handlade frågan om värdena så såklart ska man svara på den formen dock.
Det som ibland skiljer en C-uppgift från en A-uppgift är att man ska kunna resonera utan de faktiska värdena så det är en bra idé att öva på det.
SeriousCephalopod skrev:Tycker också att den är bra även om jag skulle efterfråga lite begreppsanvändning i text såsom att bara säga "komponenterna är seriekopplade varför..." osv.
Också. En lösning blir inte bättre bara för att den är mer algebraisk men det kan vara värt att öva på att konstruera algebraiska uttryck för elektriska kretsar. I Ex.3 kan man exempelvis låta R beteckna 3000 Ohm och man kan skriva
Dessa uttryck gör det lite tydligare att effekten av att parallellkoppla tre lika motstånd är att ersättningsresistansen blir en tredjedel av delarnas motstånd. Nu handlade frågan om värdena så såklart ska man svara på den formen dock.
Det som ibland skiljer en C-uppgift från en A-uppgift är att man ska kunna resonera utan de faktiska värdena så det är en bra idé att öva på det.
Ja absolut. Tycker du att man i alla uppgifter ska motivera med text också? Både E-C och A-uppgifter (för att visa A-kvalitet dvs.)? Sen håller jag med om det du säger angående algebraiska lösningar. Dock kan det ofta bli för "kladdigt" och rörigt med för mycket algebra. Dock kanske man visar att man behärskar områdena med algebra, kan "leka" med formlerna, och det ger väl "pluspoäng" iofs.
Hur övar man på att resonera utan de faktiska värdena? Då behöver man kunskaper som gör att man kan dra slutsatser efter vad som sker, och inte med hjälp av beräkningar.