Fel förenklat

Steg 2 och 3.
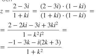
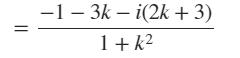
På steg 3 vänster i täljaren står det -1-3k enligt facit ovan
Jag fick 2-3k, hur har jag räknat fel
AlexanderJansson skrev:
Steg 2 och 3.
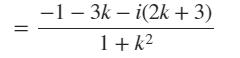
På steg 3 vänsteri täljaren bör det stå 2-3k inte -1-3k.
Hur har jag räknat fel
Du ser ut att ha multiplicerat ihop rätt, och du förenklar nämnaren korrekt.
2-2ki-3i+3ki2 nu har jag bara skrivit av täljaren precis som den stär
2-2ki-3i-3k i2 = -1
2-3k-i(2k+3)
Jag har ingen aning om vad du gjorde för att få 2 till -1. Kan du ha räknat 2-3 = -1 fastän du har kvar 3k?
Smaragdalena skrev:AlexanderJansson skrev:
Steg 2 och 3.
På steg 3 vänsteri täljaren bör det stå 2-3k inte -1-3k.
Hur har jag räknat felDu ser ut att ha multiplicerat ihop rätt, och du förenklar nämnaren korrekt.
2-2ki-3i+3ki2 nu har jag bara skrivit av täljaren precis som den stär
2-2ki-3i-3k i2 = -1
2-3k-i(2k+3)
Jag har ingen aning om vad du gjorde för att få 2 till -1. Kan du ha räknat 2-3 = -1 fastän du har kvar 3k?
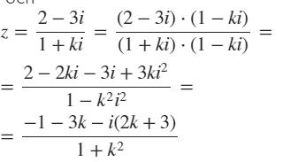
Jag var otydlig men det är facit som isf har gjort fel, jag fick 2-3k
Varför vill dem att jag ska tolka detta som den imaginära delen, när jag kan splittra upp det i ännu en reel del
Genom att splittra upp termerna
k är reelt
AlexanderJansson skrev:Varför vill dem att jag ska tolka detta som den imaginära delen, när jag kan splittra upp det i ännu en reel del
Genom att splittra upp termerna
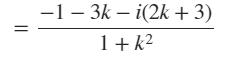
Realdelen är . Imaginärdelen är .
Smaragdalena skrev:AlexanderJansson skrev:Varför vill dem att jag ska tolka detta som den imaginära delen, när jag kan splittra upp det i ännu en reel del
Genom att splittra upp termernaRealdelen är . Imaginärdelen är .
Exakt det tycker jag med
Kan du lägga in en bild av facit?



