Fel i Integral uppgift


Hej! Jag har fått uppgiften som står ovan i första bilden. Jag har några frågor
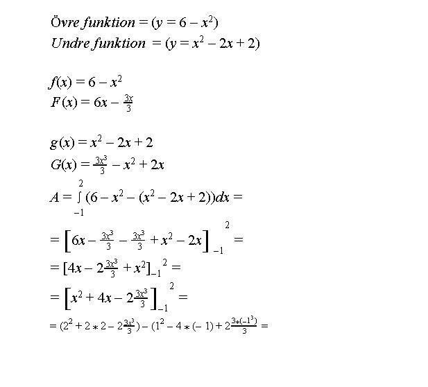
- Ser det rätt ut hitills?
- Jag känner att det är några fel i andra bilden, men kan inte säga exakt vad.
Jag känner att jag behöver öva på faktorisering.
En annan fråga. Är det fel att kalla funktionerna "f(x), F(x), g(x) och G(x)" När ursprungsfunktionen är "y=..."
Vad jag säger med detta är egentligen bara att det är två olika funktioner utav x?
Bra början, men dina primitiva funktioner är fel.
Du kan och bör alltid alltid kontrollera dina primitiva funktioner genom att derivera dem och se om du då får tillbaka ursprungsfunktionen.
Sedan är det enklare att först förenkla integranden och sedan ta fram en enda primitiv funktion.
Nej det är inte fel att kalla funktionerma för det, bara du tydligt beskriver vad du gör.
Yngve skrev:Bra början, men dina primitiva funktioner är fel.
Du kan och bör alltid alltid kontrollera dina primitiva funktioner genom att derivera dem och se om du då får tillbaka ursprungsfunktionen.
Sedan är det enklare att först förenkla integranden och sedan ta fram en enda primitiv funktion.
Nej det är inte fel att kalla funktionerma för det, bara du tydligt beskriver vad du gör.
Oj! Jag ser nu genast att mina primitiva funktioner inte alls är logiska, då jag skriver olika på "x^2" två gånger.
Jag ger det ett nytt försök.
f(x)=6-x^2
F(x)=6x-x^3/3
och
g(x)=x^2-2x+2
G(x)=x^3/3-x^2+2x
Detta bör väl stämma då?
Yngve skrev:Bra början, men dina primitiva funktioner är fel.
Du kan och bör alltid alltid kontrollera dina primitiva funktioner genom att derivera dem och se om du då får tillbaka ursprungsfunktionen.
Sedan är det enklare att först förenkla integranden och sedan ta fram en enda primitiv funktion.
Nej det är inte fel att kalla funktionerma för det, bara du tydligt beskriver vad du gör.
Känns även väldigt logiskt att förenkla integranden istället för den primitiva funktionen därefter. Tack!