2 svar
214 visningar
Moa_itsme 34 – Fd. Medlem
Postad: 21 maj 2020 21:44

Fel i svaret

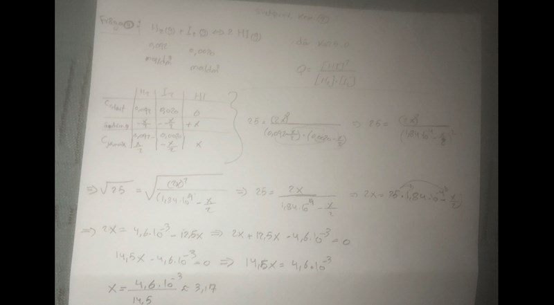
Vid 1100 K är jämviktskonstanten K = 25,0 för jämvikten:

H2 (g) + I2 (g)  2 HI (g)

I en jämviktsblandning är koncentrationen av vätgas 0,092 mol/dm3 och koncentrationen jod 0,0020 mol/dm3. Beräkna koncentrationen av vätejodid.

här löste jag uppgiften men svaret är fel jag har dubbelkollat men hittade inte felet 

Pikkart 953 – Fd. Medlem
Postad: 21 maj 2020 21:45

Hej, det går inte att se vad du har skrivit. Kan du lägga in en tydligare bild?

Smaragdalena 78892 – Avstängd
Postad: 21 maj 2020 21:47

Kan du ladda upp en bättre bild? Det är så dålig kontrast att jag inte kan se vad det står där ens när jag förstorar bilden. 

Svara
Close