5 svar
162 visningar
Bananpaj59 behöver inte mer hjälp
Bananpaj59 52 – Fd. Medlem
Postad: 13 dec 2019 11:11 Redigerad: 13 dec 2019 11:12

Fel i uppgiften? - Differentialekvationer

Hej!

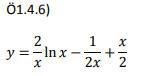
I uppgiften

funderar jag ifall de skrivit fel när de gjort den.

Man får ju nämligen allmänna lösningen y=x2+2xln(x)+cx

vilket innebär att man inte borde kunna använda villkoret y(-1)=0, eller?

Facit säger:

så jag får det inte att gå ihop. Någon som kan inflika ifall det är fel i uppgiften?

Affe Jkpg 6630
Postad: 13 dec 2019 11:18

Ska det vara x > 0 med y(1) = 0  ?

Smaragdalena 78892 – Avstängd
Postad: 13 dec 2019 11:19

Varför skulle det vara fel på uppgiften?

Lös ekvationen y(-1)=0, så får du fram värdet på konstanten c som får det att stämma.

Bananpaj59 52 – Fd. Medlem
Postad: 13 dec 2019 11:46
Smaragdalena skrev:

Varför skulle det vara fel på uppgiften?

Lös ekvationen y(-1)=0, så får du fram värdet på konstanten c som får det att stämma.

Problemet är att ln(-1) inte går att skriva såvitt jag vet, x>0 krävs när ln(x) är med i ekvationen, vilket även står i uppgiften

Bananpaj59 52 – Fd. Medlem
Postad: 13 dec 2019 11:50
Affe Jkpg skrev:

Ska det vara x > 0 med y(1) = 0  ?

Det var min tanke men tänkte att jag skulle dubbelkolla med pluggakuten!

Smaragdalena 78892 – Avstängd
Postad: 13 dec 2019 12:00

Då förstår jag problemet... Om x>0 kan man inte räkna ut y(-1). Jag läste tydligen slarvigt tidigare. Får du rätt värde på konstanten c om du kollar Affe Jkpg:s gissning, att det är y(1) som har värdet 0?

Svara
Close