3
svar
292
visningar
The_0ne340 behöver inte mer hjälp
Fel lösning men rätt svar?
Frågan lyder så här
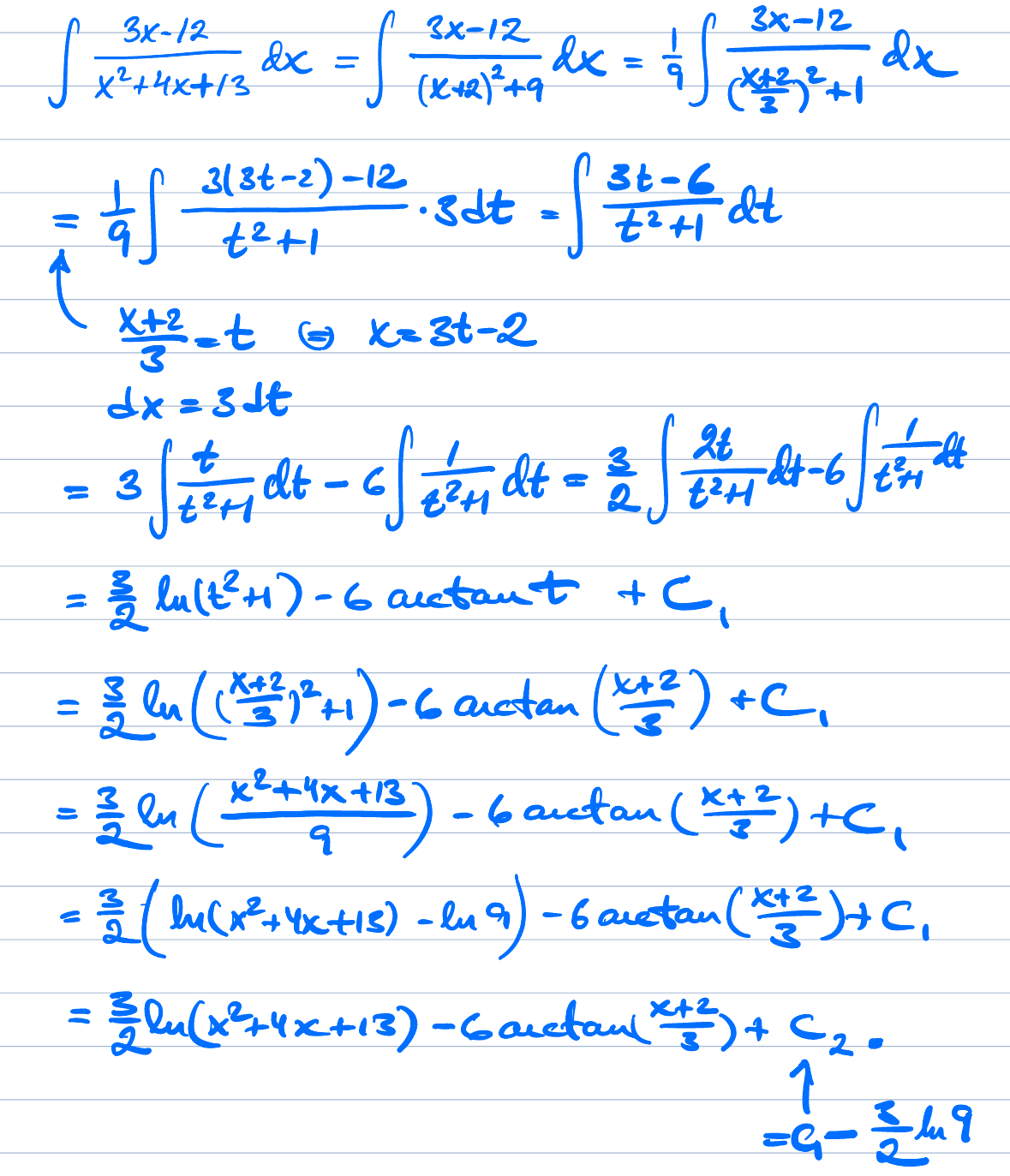
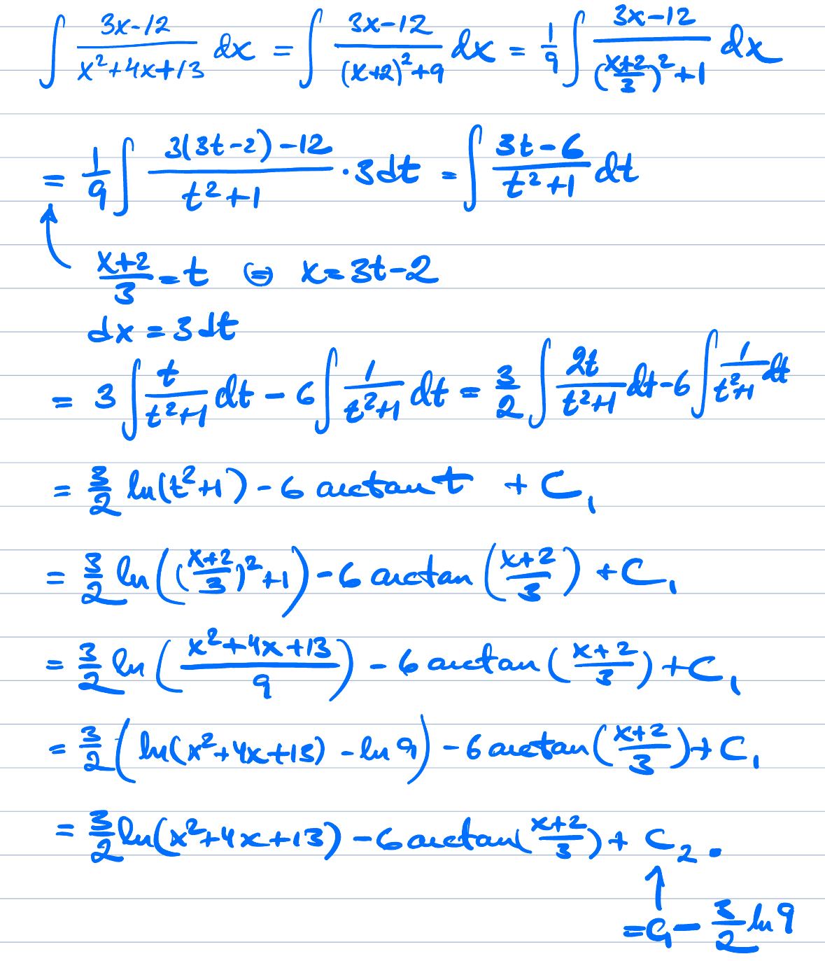
ange primitiva funktionen 
mitt svar


svaret enligt wolfram är samma som min men istället för ln(1+(x+2)^2/3 ) har de Ln(x^2+4x+13).
min frågan är har jag rätt eller fel?
Förresten PI innebär partiell intergration
Trinity2 skrev:
ah såklart det kan skrivas som en konstant. Genialiskt!!! tack så hemskt mycket

