7 svar
99 visningar
Micimacko behöver inte mer hjälp
Micimacko 4136
Postad: 16 okt 2018 09:09

Fel med kvadrering

Varför blir det inte samma? Eller mer troligt, var räknar jag fel?

Smaragdalena 78892 – Avstängd
Postad: 16 okt 2018 09:35

Hur var frågan formulerad från början?

Micimacko 4136
Postad: 16 okt 2018 09:47

Måste en fråga höra till en uppgift? Jag undrar varför det blir olika svar när jag stoppar in samma sak men i ena fallet har utvecklat (x-2)^2 och i andra inte. 

Bubo 8109
Postad: 16 okt 2018 09:59

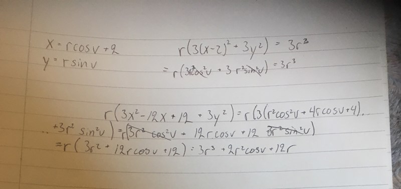
Du glömmer bort 12x och 12  i det andra uttrycket. Eller läser jag fel?

Micimacko 4136
Postad: 16 okt 2018 10:01
Bubo skrev:

Du glömmer bort 12x och 12  i det andra uttrycket. Eller läser jag fel?

 Tror inte de är borta, men de tog en omväg genom en 3(..) av okänd anledning 🤔

AlvinB 4015
Postad: 16 okt 2018 10:01 Redigerad: 16 okt 2018 10:10
Micimacko skrev:

Måste en fråga höra till en uppgift? Jag undrar varför det blir olika svar när jag stoppar in samma sak men i ena fallet har utvecklat (x-2)^2 och i andra inte. 

 Felet måste ju inte alltid ligga i algebran, det kan ju vara något annat också. I detta fallet är det inte så, men det blir ändå lättare att få en helhetsbild.

I alla fall, ditt fel ligger i att i den nedre uträkningen glömmer du tvåan i x=rcos(v)+2x=r\cos(v)\color{red}+2.

EDIT:

Uträkningen blir alltså egentligen:

r(3(x-2)2+3y2)=r(3(x2-4x+4)+3y2)=r(3x2-12x+12+3y2)=r(3(x-2)^2+3y^2)=r(3(x^2-4x+4)+3y^2)=r(3x^2-12x+12+3y^2)=

=r(3(rcos(v)+2)2-12(rcos(v)+2)+12+3(rsin(v))2)==r(3(r\cos(v)+2)^2-12(r\cos(v)+2)+12+3(r\sin(v))^2)=

=r(3(r2cos2(v)+4rcos(v)+4)-12rcos(v)-24+12+3r2sin2(v))==r(3(r^2\cos^2(v)+4r\cos(v)+4)-12r\cos(v)-24+12+3r^2\sin^2(v))=

=r3r2cos2v+12rcosv+12-12rcosv-12+3r2sin2v=r3r2cos2v+3r2sin2v=3r3=r\left(3r^2\cos^2\left(v\right)+\cancel{12r\cos\left(v\right)}+\cancel{12}-\cancel{12r\cos\left(v\right)}-\cancel{12}+3r^2\sin^2\left(v\right)\right)=r\left(3r^2\cos^2\left(v\right)+3r^2\sin^2\left(v\right)\right)=3r^3

Smaragdalena 78892 – Avstängd
Postad: 16 okt 2018 10:04
Micimacko skrev:

Måste en fråga höra till en uppgift? Jag undrar varför det blir olika svar när jag stoppar in samma sak men i ena fallet har utvecklat (x-2)^2 och i andra inte. 

 Nej, det måste den inte, men det händer ofta att någon ställer en fråga och det visar sig att den ekvation som användaren försöker lösa, och som användaren inte får att stämma med facit, är en helt annan ekvation än det borde vara (det hände senast i går).

Micimacko 4136
Postad: 16 okt 2018 10:10
AlvinB skrev:
Micimacko skrev:

Måste en fråga höra till en uppgift? Jag undrar varför det blir olika svar när jag stoppar in samma sak men i ena fallet har utvecklat (x-2)^2 och i andra inte. 

 Felet måste ju inte alltid ligga i algebran, det kan ju vara något annat också. I detta fallet är det inte så, men det blir ändå lättare att få en helhetsbild.

I alla fall, ditt fel ligger i att i den nedre uträkningen glömmer du tvåan i x=rcos(v)+2x=r\cos(v)\color{red}+2.

Det var inspirerat av en uppgift, men sen hade det visst ingenting med uppgiften att göra iaf. Jag var fortfarande nyfiken på vad jag ställt till med.  Tack :)

Svara
Close