2
svar
83
visningar
Plugghingsten behöver inte mer hjälp
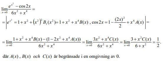
Fel med L'Hôpitals
Jag trodde att jag skulle lösa denna uppgift m.h.a. L'Hôpitals. När jag kikar på lösningen så är det något helt annat.

Jag förstår inte så mycket av detta. Det påminner om ett tillvägagångssätt för differentialekvationer men vågar inte säga det. Någon som vet?
De använder Maclaurinutveckling. Jag gissar att du är bekant med serierna
Tack! Då vet jag var jag ska kika på. Återkommer om jag fastnar :)