2
svar
51
visningar
fel metod? - lg uttryck
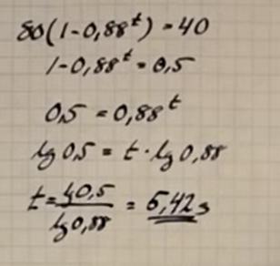
om jag har uttrycket
80 ( 1-0,88t ) = 40
varför går det inte att lösa såhär?
80 - 70,4t = 40
- 70,4t = - 40
70,4t = 40
lg(70,4)t = lg(40)
t lg(70,4) = lg(40)
t = lg(40) / lg(70,4)
t =0,867
Korrekt lösning:

80 * 0,88t ≠ 70,4t. Potenser fungerar inte så tyvärr :)
Annars korrekt.
mrpotatohead skrev:80 * 0,88t ≠ 70,4t. Potenser fungerar inte så tyvärr :)
Annars korrekt.
testade med att annat uttryck och tal och insåg nu felet (det med potenser), tack för hjälpen