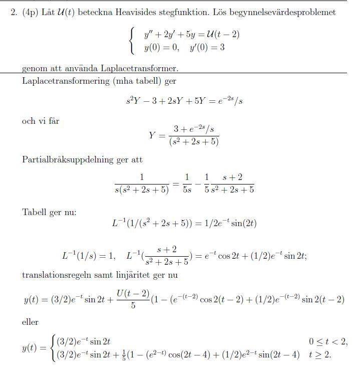
Fel vid Laplacetransform, osäker varför
Hej har försökt med denna uppgift ett tag nu och lyckas nästan få helt rätt förutom att facit får 1/2 framför sista sin termen och undrar vad de är jag gör fel, tack så mycket för hjälpen,mitt lösningsförslag är högst upp facit längst ner 

Jag vet inte hur du har räknat, men det som är lätt att missa är att täljaren behöver vara och inte för att återtransformera den ena termen till
Nu behövs att täljaren är två för att återtransformera den andra termen till . Därför multipliceras med två inuti parentesen och divideras med två utanför den.
Det är här faktorn kommer in i bilden.
Okej tack för hjälpen men varför fungerar det inte att göra som jag att göra inverse laplace på och sedan på och hur kommer det sig att 1 i täljarn och nämnaren försvinner när du tar ut e-t medans på andra termen försviner bara 1 i nämnaren?? tack för förklaringen
Det går mycket väl att ta Laplaceinversen av uttrycket
men svaret blir inte utan .
Men vi kanske ska backa bandet i och med att du undrar lite grann över vad som egentligen händer när vi plockar ut faktorn av . Du hittar förmodligen i din tabell över laplacetransformer något liknande:

Vad denna egenskap säger oss är att ifall vi har en laplacetransform av någon funktion, säg och Laplaceinversen kan vi genom att multiplicera inversen med byta ut i mot . Om vi t.ex. låter blir då:
I vårt fall vill vi utnyttja detta för att beräkna Laplaceinverser. Jag visade ett tankesätt i mitt förra inlägg (i tron om att det var ungefär så som du tänkt), men så här kanske blir enklare. Vi söker Laplaceinversen:
Låter vi nu ger den ovannämnda egenskapen att vi får multiplicera med och samtidigt byta ut mot . Det ger:
För att nu kunna pussla ihop det här till en transform av (som blir vill vi bara ha ett i täljaren. Därför delar vi upp:
Steget med faktorn görs eftersom att uttrycket för laplacetransformen av kräver att vi har (i detta fall ) i täljaren.
Blev det något klarare nu?
Ah nu förstår jag tack så mycket