Felaktig svar på area
Hej
Varför är mitt svar fel? Jag ritade y=e^-5x och uttryckte area som funktion av x där jag fick A(x)=x*e^-5x/2. Deriverade den och hittade derivatans nollställe som är x=1/5. Jag stoppade in sen in i vår area funktion för att få ut den maximala area som efterfrågades. Mitt svar är A=e^-1/10

Hur har du tagit fram areafunktionen? Har du skissat upp en bild av hur trianglarna ser ut? :)
Smutstvätt skrev:Hur har du tagit fram areafunktionen? Har du skissat upp en bild av hur trianglarna ser ut? :)
Genom att tänka A=b*h/2=x*y/2. Min skiss är ej den finaste men men här kommer den.

destiny99 skrev:Smutstvätt skrev:Hur har du tagit fram areafunktionen? Har du skissat upp en bild av hur trianglarna ser ut? :)
Genom att tänka A=b*h/2=x*y/2. Min skiss är ej den finaste men men här kommer den.
Hur fick du arean till x*f(x)/2?
Ta en godtycklig tangeringspunkt (a, f(a)). Skriv tangentens ekvation y-f(a)=k(x-a).
Hitta tangentens skärningspunkterna med x- och y-axlarna. Rita bättre bild så får du arean av triangeln uttryckt i a.
Mohammad Abdalla skrev:destiny99 skrev:Smutstvätt skrev:Hur har du tagit fram areafunktionen? Har du skissat upp en bild av hur trianglarna ser ut? :)
Genom att tänka A=b*h/2=x*y/2. Min skiss är ej den finaste men men här kommer den.
Hur fick du arean till x*f(x)/2?
Ta en godtycklig tangeringspunkt (a, f(a)). Skriv tangentens ekvation y-f(a)=k(x-a).
Hitta tangentens skärningspunkterna med x- och y-axlarna. Rita bättre bild så får du arean av triangeln uttryckt i a.
Jag tror ej jag förstår riktigt vad du menar här. Därav har jag svårt att komma vidare med bara y-f(a)=k(x-a) samt skärningspunkter med x och y som du nämner här.

Om du kollar på bilden. Hur skulle du göra för att beräkna arean av triangeln DBC?
Tangeringspunkten är (a, f(a)), dvs (a, e-5a).
Sen ska du hitta tangentens lutning, dvs k= f'(a)=-5e-5a. (Då f'(x)=-5e-5x).
Vad har tangenten för ekvation?
k= vilket ger att: y-f(a)=k(x-a) (Detta är tangentens ekvation)
Hur hittar du koordinaterna på punkterna C och B uttryckt i a?
Mohammad Abdalla skrev:
Om du kollar på bilden. Hur skulle du göra för att beräkna arean av triangeln DBC?
Tangeringspunkten är (a, f(a)), dvs (a, e-5a).
Sen ska du hitta tangentens lutning, dvs k= f'(a)=-5e-5a. (Då f'(x)=-5e-5x).
Vad har tangenten för ekvation?
k= vilket ger att: y-f(a)=k(x-a) (Detta är tangentens ekvation)
Hur hittar du koordinaterna på punkterna C och B uttryckt i a?
Ingen aning. Tänker mig C har koordinaterna (a1,0) och D har koordinaterna (0,f(a)). Chatgpt säger förresten att det ej finns någon area till kurvan eftersom det saknar skärningspunkter pga vi får ingen derivatans nollställe.
destiny99 skrev:
Ingen aning. Tänker mig C har koordinaterna (a1,0) och D har koordinaterna (0,f(a)).
Du kan tänka så här: En linje y = k•x+m skär
- y-axeln då x = 0, vilket ger oss y = k•0+m, dvs y = m
- x-axeln då y = 0, vilket ger oss 0 = k•x+m, dvs x = -m/k.
Chatgpt säger förresten att det ej finns någon area till kurvan eftersom det saknar skärningspunkter pga vi får ingen derivatans nollställe.
Då ställer du kanske fel fråga till ChatGPT.
Vilken derivata?
Yngve skrev:destiny99 skrev:Ingen aning. Tänker mig C har koordinaterna (a1,0) och D har koordinaterna (0,f(a)).
Du kan tänka så här: En linje y = k•x+m skär
- y-axeln då x = 0, vilket ger oss y = k•0+m, dvs y = m
- x-axeln då y = 0, vilket ger oss 0 = k•x+m, dvs x = -m/k.
Chatgpt säger förresten att det ej finns någon area till kurvan eftersom det saknar skärningspunkter pga vi får ingen derivatans nollställe.
Då ställer du kanske fel fråga till ChatGPT.
Vilken derivata?
Jag kopierade uppgiftsfrågan och skickade den till den. Om den har fel eller rätt vet jag ej. Hur vet du att den har fel?
destiny99 skrev:
Jag kopierade uppgiftsfrågan och skickade den till den. Om den har fel eller rätt vet jag ej. Hur vet du att den har fel?
Eftersom det finns ett svar (jag får det till att största arean är a.e.).
Antagligen har ChatGPT missuppfattat frågeställningen.
Men det viktiga är om du kommer vidare från det Mohammad Abdalla skrev i svar #6?
Yngve skrev:destiny99 skrev:Jag kopierade uppgiftsfrågan och skickade den till den. Om den har fel eller rätt vet jag ej. Hur vet du att den har fel?
Eftersom det finns ett svar (jag får det till att största arean är a.e.).
Antagligen har ChatGPT missuppfattat frågeställningen.
Men det viktiga är om du kommer vidare från det Mohammad Abdalla skrev i svar #6?
Ah okej nej jag har ej kommit vidare eller hunnit med den förrän nu.
Jag vill påpeka att Chat-GPT fungerar mycket dåligt i matematik. Det är allmänt omvittnat. Jag har provat många olika slags tal. Den svarar praktiskt alltid fel. Även om man provar att omformulera eller bara regenerate, så blir nya felaktiga svar. Wolfram-Alpha fungerar bättre dock ej för denna typ av tal.
Man ska i alla fall tro sina egna ögon mer än chat gpt.
destiny99 skrev:
Ah okej nej jag har ej kommit vidare eller hunnit med den förrän nu.
OK. Ledtråd till att komma vidare:
- Sätt att x-koordinaten för punkten C är x1
- Sätt att y-koordinaten för punkten B är y1
- Då har du att triangelns area A = x1•y1/2.
- Uttryck nu x1 och y1 med hjälp av den information som du fick I svar #6.
- Du får då en areafunktion A(a).
- Hitta maximala värdet av A(a).
Ge det ett försök och hojta till om du kör fast.
Yngve skrev:destiny99 skrev:Ah okej nej jag har ej kommit vidare eller hunnit med den förrän nu.
OK. Ledtråd till att komma vidare:
- Sätt att x-koordinaten för punkten C är x1
- Sätt att y-koordinaten för punkten B är y1
- Då har du att triangelns area A = x1•y1/2.
- Uttryck nu x1 och y1 med hjälp av den information som du fick I svar #6.
- Du får då en areafunktion A(a).
- Hitta maximala värdet av A(a).
Ge det ett försök och hojta till om du kör fast.

facit håller ej med. Vad har jag gjort för fel?

Ursäkta att jag flikar in i tråden. Jag ser att den är markerad på universitetsnivå, men jag undrar:
Tror ni att en liknande fråga kan komma på ett prov i kursen Ma3c på A-nivå?
Mesopotamia skrev:Ursäkta att jag flikar in i tråden. Jag ser att den är markerad på universitetsnivå, men jag undrar:
Tror ni att en liknande fråga kan komma på ett prov i kursen Ma3c på A-nivå?
Tveksamt. Det är troligare att det skulle komma en uppgift där toppen av triangeln ligger på linjen eller någon annan funktion. Det kom exempelvis en sådan uppgift på nationella provet i matte 3c år 2022. :)
Smutstvätt skrev:Citat
Mesopotamia skrev:Ursäkta att jag flikar in i tråden. Jag ser att den är markerad på universitetsnivå, men jag undrar:
Tror ni att en liknande fråga kan komma på ett prov i kursen Ma3c på A-nivå?
Tveksamt. Det är troligare att det skulle komma en uppgift där toppen av triangeln ligger på linjen eller någon annan funktion. Det kom exempelvis en sådan uppgift på nationella provet i matte 3c år 2022. :)
Okej, tack för svar. Kan du snälla skicka en länk till uppgiften som kom på nationella provet?
Här (uppgift 18)! I uppgiften ska du bestämma en konstant så att arean blir ett visst värde, men det går att vända på sådana uppgifter till att arean ska maximeras. :)
Tack så mycket för hjälpen!
Det finns en exakt likadan uppgift i ma3c på gammal np-tror jag. Där är funktionen y=1/x^2.
Kan du snälla skicka länken till den eftersom det verkar vara ännu en sådan uppgift (alltså inte nationella provet 2023)?
Tack!
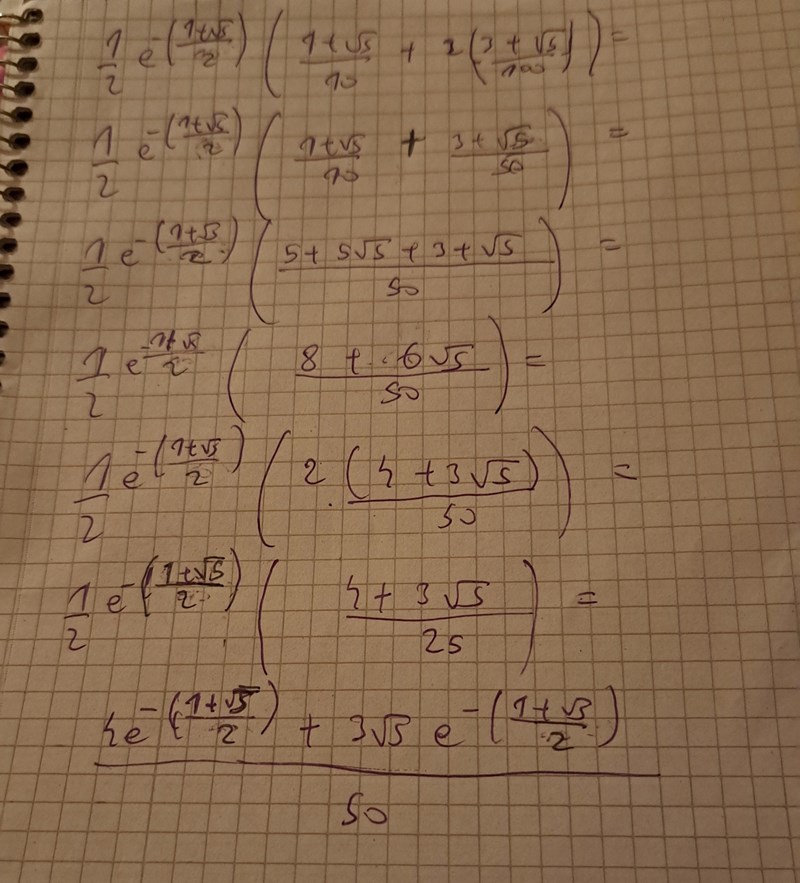
Jag kunde inte hitta själva np, men jag fann min handskrivna lösning.
Kan du vänligen skicka den här? Jag kan nog klura ut uppgiften från den.