Felet i uträkningen

Varför får jag istället svaret (pi/3)-sqrt(3)?

Jämför din uträkning med den i facit, steg för steg.
Ser du skillnaden?
jag har tagit fram fel primitiv funktion
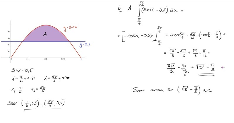
men i facit räknar man ut arean av lila området men jag räknar arean av det vita området. Varför är det fel att gör som jag gjort? Hur ska man veta vilket område de menar? dvs ifall de menar det vita eller lila området?
Det står klart och tydligt i uppgiften vilket område som avses:

Men du har inte beräknat arean av det vita området (om du med det menar det som ligger mellan x-axeln, linjen y = 0,5 och grafen till y = sin(x))
1. Hur ska jag utifrån uppgifts texten veta vilket ”område” de syftar på? 
2. har jag inte räknat ut arean av det vita området? Vad har jag annars gjort?
Katarina149 skrev:1. Hur ska jag utifrån uppgifts texten veta vilket ”område” de syftar på?
Det står att "Kurvan (y = sin(x)) och linjen (y = 0,5) innesluter tillsammans ett område. (i intervallet 0 x )
Rita kurvan, rita linjen, tänk bort koordinataxlarna.
Ser du fler än ett inneslutet område?
2. har jag inte räknat ut arean av det vita området? Vad har jag annars gjort?
Nej, du har integrerat "undre" funktion minus "övre" funktion. Och du får då arean gast med omvänt tecken.
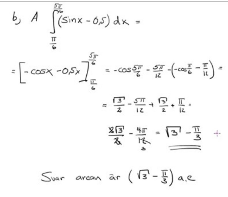
Är det rätt uppställt nu?
Katarina149 skrev:Är det rätt uppställt nu?
Jämför din uppställning ned den lösning som är given. Är de lika? I så fall är det rätt.

jag har ställt upp samma tal. Men jag får inte samma svar. 
Du har gjort ett enkelt fel.
Detta är ett utmärkt tillfälle för dig att träna på att hitta det.
Jag hade råkat ta gånger pi men det ska vara pi/6
Bra!
Det känns som att du har blivit bättre på att hitta dina egna fel?
Jag hoppas på det!:)