Fermats lilla sats; bestäm resten
Jag har en uppgift som lyder:
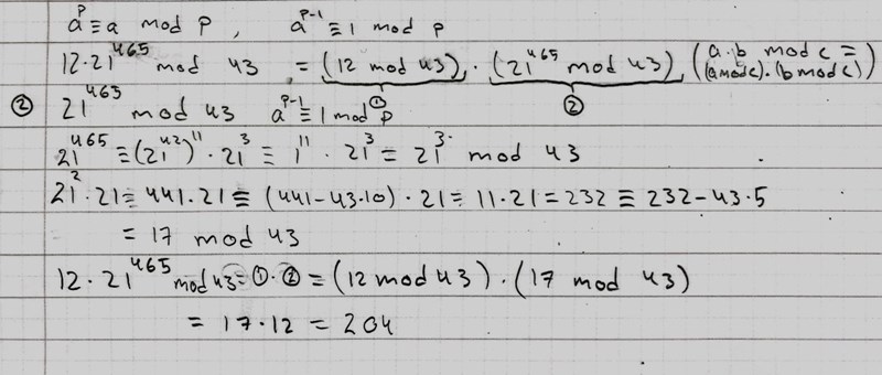
Detta är mitt försök till lösning på denna uppgiften:

Jag använder alltså Fermats lilla sats a^(p-1) kongruent med p och försökte genom den versionen lösa ut resten. Det är dock fel, och jag vet inte riktigt hur jag ska lösa den, kan någon hjälpa till?
Du har tänkt rätt men gjort ett pyttelitet slarvfel. Vad blir egentligen ?

Ojdå, det ska ju bli 231.
Jag använder nått script i matlab för att kolla om det är rätt, men detta svar blir fortfarande fel... Med den uppdaterade beräkningen borde det inte finnas några slarvfel. Är det något annat som kanske är fel rent tekniskt?
Du får dela 192 med 43 också och se vad resten blir.
Ah du såklart, jag låste mig helt till det felaktiga svaret. Tack båda två för hjälpen! (: