7
svar
198
visningar
Soderstrom behöver inte mer hjälp
Filter Transfer function
Fick nu lite feedback på mitt arbete och måste komplettera det!
Uppgift 3:

På a. får jag jag .
För b och c får jag följande plott med dess kod:
Kod
C=40e-6;R=250;
L=37.5e-3;
num = [L R];
den = [L.*C.*R, L, R];
F = tf(num, den);
t = linspace(0,2,100);
y=1-exp(-50.*t).*(cos(sqrt(2/3).*10^3.*t)-(1/20).*sqrt(3/2).* sin(sqrt(2/3).*10^3.*t));
plot(t,y,'or')
hold on
step(F)
Plott

Är det rätt?
Beräkningen är densamma som tidigare.
Plotdiagrammet verkar bra.

OK!
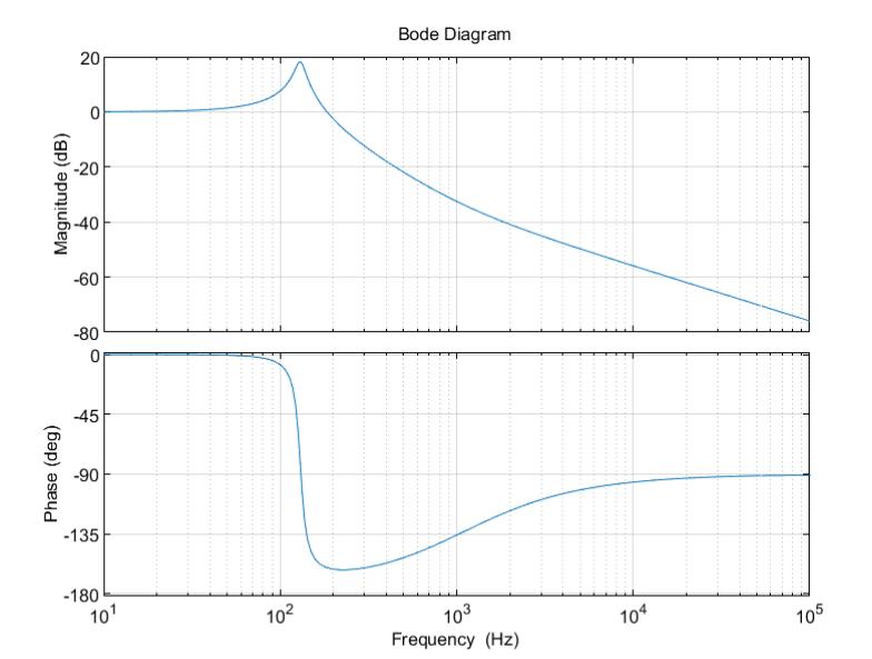
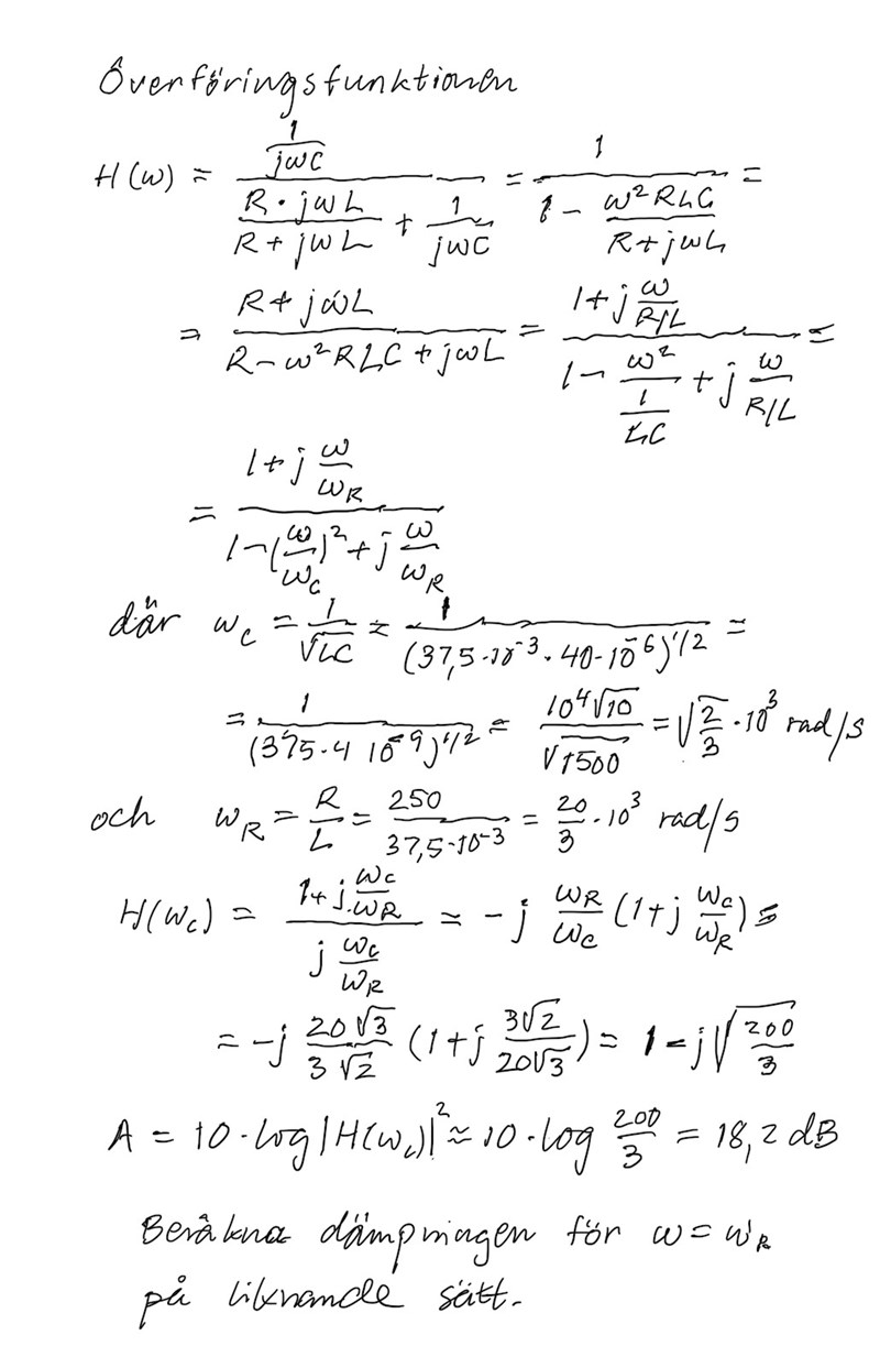
Sen har jag uppgift 5:
Uppgift 5

På uppgift 5 har jag kommit fram till följande resultat (Bekräfta gärna om de är rätt).
Bode plottarna och svar till uppgift 5


Bump:(
Men borde inte variera flr olika inputs?
Då får du fixa det själv eller ta hjälp av någon annan.
Löste sig utmärkt. Tack för hjälpen!
