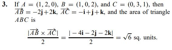
Find the area of the triangle with vertices (1,2,0), (1,0,2) & (0,3,1)
Hej! Jag förstår inte riktigt hur de kom fram till sitt svar i facit? Jag håller med att
AB = -2j + 2k & AC = -i + j + k och att vi ska beräkna arean genom att ta |AB x AC|/2. Men jag förstår inte hur de får fram att AB x AC = -4i - 2j -2k?
Min uträkning på uppgiften blev följande:
A = (1,2,0), B = (1,0,2), C = (0,3,1)
AB = 0i -2j + 2k
AC = -i + j + k
Arean på triangel = (paralellogrammet till triangeln)/2 dvs. ||AB x AC||/2
AC x AB = x= =(2-(-2))-(-2-0)+(2-0)=4i-(-2j)+2k=4i+2j+2k
||AB x AC||/2 = ||4i+2j+2k||/2 = /2 = /2= /2 a.e

Facit:

Tack på förhand!
Mvh
Du räknar AC x AB = -(AB x AC).
Juste tack! Men borde inte det slutliga svaret bli det samma som det i facit även om jag räknade fel på den delen eftersom de alla blir kvadrerade under rottecknet och därmed positiva?
Svaren är samma. Ditt kan förenklas.
Ahh okej såg inte det först tack!
/2 =(*)/2=2/2=