1
svar
246
visningar
Find the flux of F= xi+yj+zk across the sphare
Hej! Jag försökte lösa denna uppgift men förstår inte riktigt vad jag gör fel?

Min lösning:

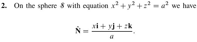
Facit:


Tack på förhand!
