1
svar
85
visningar
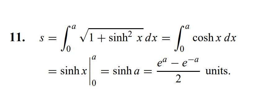
FInd the length of the given curve
Hej! jag funderar på hur de fått fram att dx = coshx dx? Jag misstänker att de använt trigonometriska ettan på något sätt men när jag försöker får jag det ändå inte till coshx. Jag får att

Tack på förhand!
De använder hyperbolisk etta.
cosh2(x) - sinh2(x) = 1.