4
svar
60
visningar
destiny99 behöver inte mer hjälp
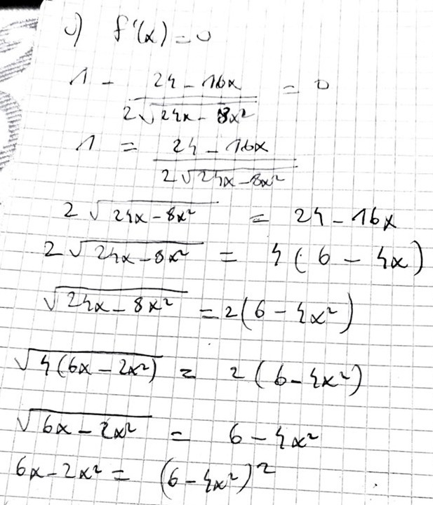
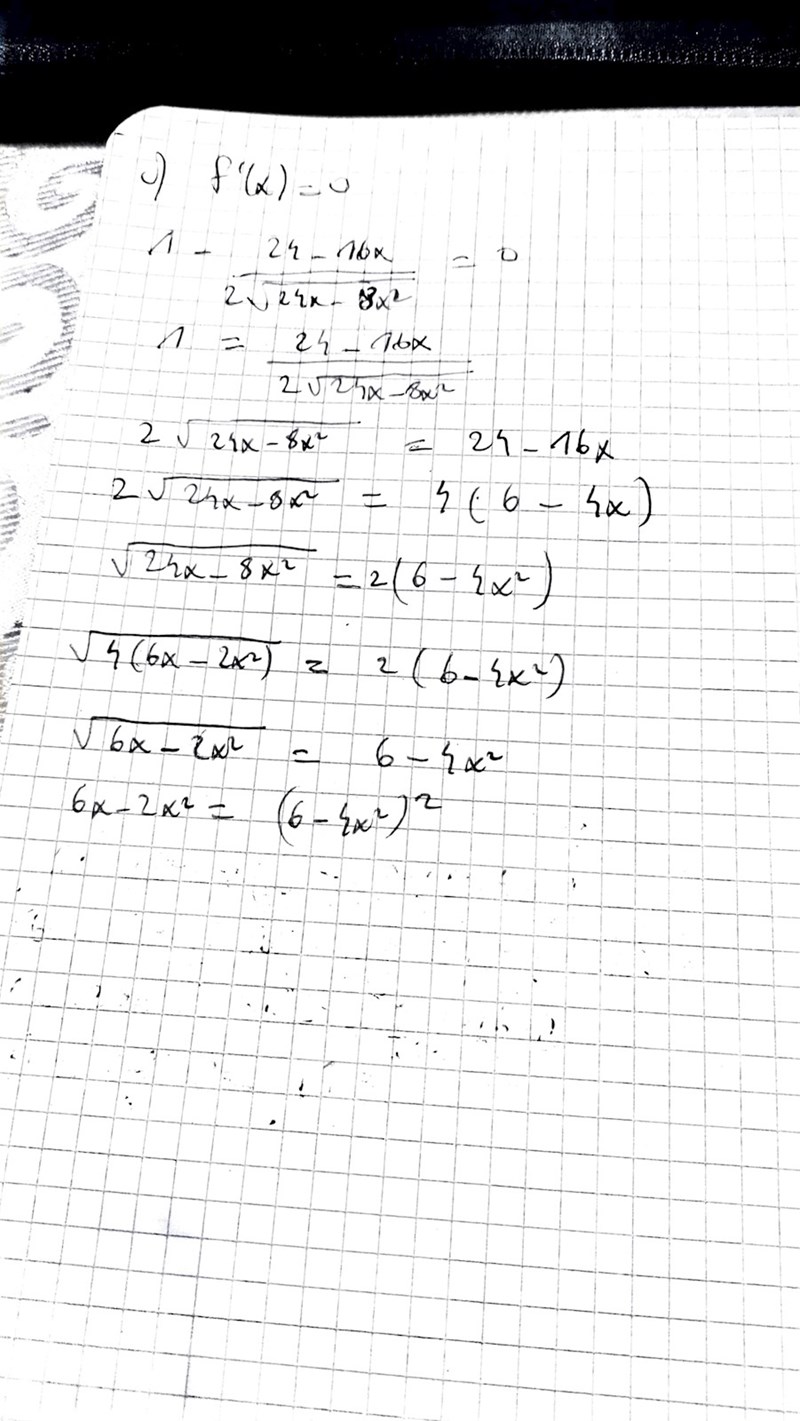
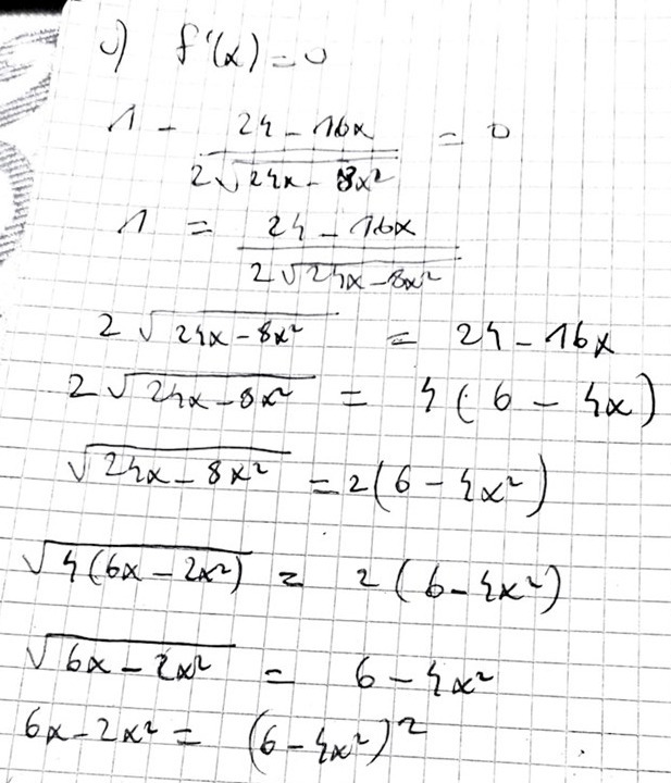
Finn alla kritiska punkter
hej!
Jag har lite svårt att komma vidare gällande att fortsätta söka efter derivatans nollställe. Kom en bra bit tills jag fick uttrycket i sista raden..
.jpg?width=800&upscale=false)
destiny99 skrev:
hej!
Jag har lite svårt att komma vidare gällande att fortsätta söka efter derivatans nollställe. Kom en bra bit tills jag fick uttrycket i sista raden..
Efter raden : Dela med 2, kvadrera båda sidor.
Varför blev 4x till 4x2 plötsligt?
Smaragdalena skrev:destiny99 skrev:
hej!
Jag har lite svårt att komma vidare gällande att fortsätta söka efter derivatans nollställe. Kom en bra bit tills jag fick uttrycket i sista raden..
Efter raden : Dela med 2, kvadrera båda sidor.
Tack för hjälpen!
Laguna skrev:Varför blev 4x till 4x2 plötsligt?
Ojdå jag såg fel. Tack för din uppmärksamhet!

