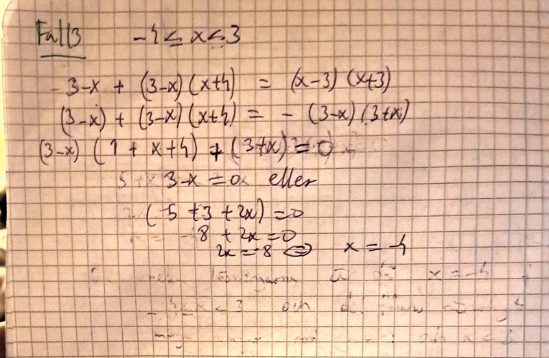
Finn alla reella lösningar till ekvationen

-1.jpg?width=800&upscale=false)
-1.jpg?width=800&upscale=false)
Hej!
Jag förstår ej varför facit nedan svarar som de gör. Är mina svar felaktiga och var har jag tänkt fel isåfall?

Du tappar bort x = 3 när du delar med x-3 i fall 1.
Laguna skrev:Du tappar bort x = 3 när du delar med x-3 i fall 1.
Aa okej. Ska man alltså ej dela med (x-3) i fall 1 och 2 för att ej missa lösningar till ekvationen? Varför är det så?
Du vet ju att man inte får dividera med noll. Om du delar med något så får du kolla om det du delar med kan vara noll och i så fall ta hand om det fallet separat. Det här är inget nytt.
Laguna skrev:Du vet ju att man inte får dividera med noll. Om du delar med något så får du kolla om det du delar med kan vara noll och i så fall ta hand om det fallet separat. Det här är inget nytt.
Jo det vet jag ju. Men jag tänkte ej på att det här gällde detta. Man är ju van när det kommer till divisions uttryck att man ej får dela med noll. Idet här fallet ser vi att (x-3) är 0 då x=3.

-1.jpg?width=800&upscale=false)
Nu får jag detta. Hur ska man svara?
Varför blev fall 2 annorlunda den här gången?
Laguna skrev:Varför blev fall 2 annorlunda den här gången?
Hur då annorlunda? Jag delade ej med (x-3) där heller. Ingen av lösningarna uppfyller villkoret där. Kan man svara att de reella lösningarna ges av x=3 och x=4 . Facit skrev dock att x<=4 , spelar det roll?