Finn konstanten A

Jag har bara lite problem att hitta konstanten A (det som är under (2)). Jag är lite osäker på vad det jag kommit fram till innebär då jag fått -8A=2 och -10A=0, varför får jag två olika ekvationer som uttrycker A?
Jag vet inte om detta är rätt tillvägagångssätt, men pröva ansatsen att
yp = A*sin(x) + B*cos(x)
istället. Jag minns inte om det är så man skall göra men jag har för mig att det brukar ge något.
Bedinsis skrev:Jag vet inte om detta är rätt tillvägagångssätt, men pröva ansatsen att
yp = A*sin(x) + B*cos(x)
istället. Jag minns inte om det är så man skall göra men jag har för mig att det brukar ge något.
Jag tänkte det med men då ska det även ha cosinus i högerledet vilket jag inte har.
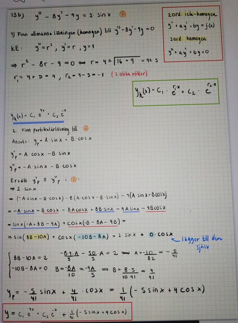
Jag vet riktigt vart det går fel
Prova!
Så här då eller? Hur ska man tänka när man gör ansatsen så man undviker problem?
offan123 skrev:Så här då eller? Hur ska man tänka när man gör ansatsen så man undviker problem?
Ditt svar verkar vara korrekt. Jättefint uppställt också!
Titta på bilden du bifogade förut, med ansatser till partikulärlösningar. Kom ihåg att både C eller D kan vara lika med noll i funktionen
dvs att om f(x) bara innehåller en term för sinus eller en term för cosinus så kan du fortfarande göra ansatsen som ges i tabellen.
Aha, tack så mycket