2
svar
118
visningar
M4t3m4t1k behöver inte mer hjälp
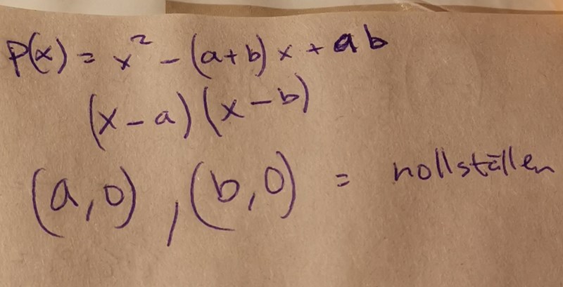
Finn nollställa till polynomet och försök tolka resultatet

hur tolkar man detta resultat?
Vilket samband finns mellan en funktions nollställen och funktionens konstantterm? :)
Produkten av nollställen blir ab (vet inte vad den delen av polynomet kallas)
Summan av nollställen blir a+b dvs koefficienten framför x.
Är vi på rätt väg? :)