2
svar
62
visningar
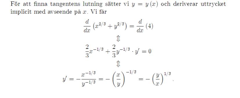
Finn tangenten till astroiden
Hej! Jag undrar varför de tar ? Jag fick fram att lutningen skulle bli eftersom
y' =



Tack på förhand!
Jag fick läsa ett tag innan jag fattade vad du menade och sedan vad de menade eftersom jag först inte hängde med i varifrån termen kommer i från. I varje fall, det är ett =-tecken som saknas i ekvationen som står nedanför raden "Med x = 1 och y = 3 sqrt(3) insatt ger detta tangentens lutning". Detta =-tecken bör befinna sig direkt efter det första )-tecknet och innan minustecknet.
Vad de gör är att de noterar att
dvs. de låter vara basen. Om du också gör det bör du också få bort exponenten 1/3.
Ahh vad smart:) tack nu förstår jag!