Finns det ett lättare sätt?
Tjena! Jag ska försöka svara på:

Jag har kommit såhär lång genom att bara derivera steg för steg:
Men jag undrar om det finns ett mer enkelt sätt, för att nu derivera från andra derivatan till tredje och från tredje till fjärde kommer vara väldigt omfattande, finns det något mer effektivt sätt att göra detta?
Tack på förhand!
Det finns absolut ett mer effektivt sätt att göra detta på! Vi kan skriva funktionen som en sammansatt funktion, på formen:
Om vi nu tittar på den allmänna taylorutvecklingen, är den .
Vad händer med f(x), nu när vi har en sammansatt funktion? :)
Smutstvätt skrev:Det finns absolut ett mer effektivt sätt att göra detta på! Vi kan skriva funktionen som en sammansatt funktion, på formen:
Om vi nu tittar på den allmänna taylorutvecklingen, är den .
Vad händer med f(x), nu när vi har en sammansatt funktion? :)
Tack för svaret! :)
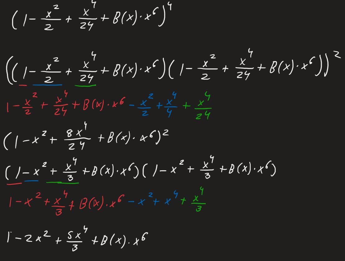
Jag tror att jag förstod vad du menade, så jag ritade upp det:

Tyvärr blir det väldigt mycket att hålla reda på i slutet, så jag vet inte om jag kanske missförstod, men det kändes lite lättare när jag ritade ut det i alla fall.
Utveckla bara cos till grad 4, och upphöj utvecklingen direkt. Typ (1-x2/2+x4/24+O(x5))^4.
Micimacko skrev:Utveckla bara cos till grad 4, och upphöj utvecklingen direkt. Typ (1-x2/2+x4/24+O(x5))^4.
Äntligen förstår jag, tack för hjälpen!
Såhär löste jag det:
Jag började med att ta fram maclaurinpolynomet för cos x få fram de första 6 derivatorn.

Därefter upphöjde jag utvecklingen av mitt polynom enligt:

Jag behövde bara multiplicera högst till att jag fick x^4 eftersom vi ville ha det av fjärde graden.
Jag är dock lite osäker på varför du skrev x^5, jag tänker det borde vara x^6 eftsom femte derivatan av cos x är -sinx som är noll då x är noll?
Varför skulle jag derivera en gång till om jag vet att jag vill ha 4?