1
svar
84
visningar
offan123 behöver inte mer hjälp
Finns inget z som funkar

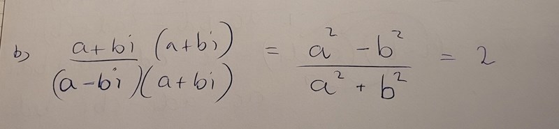
På b) Hur kan man visa att detta z inte finns dvs det inte går att få 2.
a+bi= z
a-bi= w
Låt z = r e^(i ) för något r och något θ.
w är då w = r e^(-i θ)
varför
z/w = e^(i 2θ)
som har längden 1 varför z/w aldrig kan bli 2 (då θ=0).