2
svar
126
visningar
Fission reaktion


Hejsan
jag håller på med gamla tentafrågor.
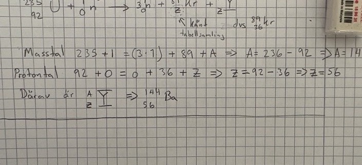
Stämmer min beräkning?
Om svaret är rätt så vad var anledningen till att masstalet varierar hos Ba men protontalet förblir detsamma i formel/tabell samlingen.
jag utgick ifrån protontalet för att identifiera följande ämnen
Jag ser inte din beräkning.
Biorr skrev:
vad var anledningen till att masstalet varierar hos Ba men protontalet förblir detsamma i formel/tabell samlingen.
Barium har olika isotoper. Det är kärnladdningen (antalet protoner) som bestämmer de kemiska egenskaperna.
