0
svar
116
visningar
Linnzan behöver inte mer hjälp
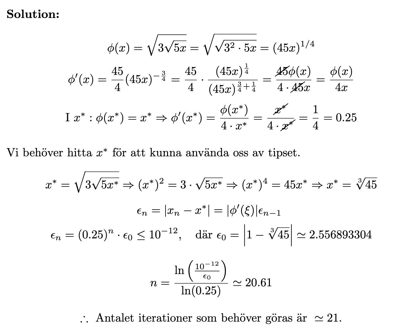
Fix point iteration
Hej, jag behöver lite hjälp här. Jag vet inte om jag tänkt rätt på uppgift 2 a) eller om jag gått händelserna i förväg genom att beräkna den faktiska roten x*. Finns det något annat sätt att lösa uppgiften på?
Här är min lösning:

Det som gör mig förvirrad är att, om jag tolkat uppgiften rätt, först skall beräkna x* på fråga 2c). Finns det något sätt att landa på samma svar utan att beräkna x* i fråga 2 a) ?