Fjäder och plan pendel - laboration
Hej!
Jag jobbar just nu med en labbrapport och jag sitter fast... Pga covid19 har vi fått färdiga mätvärden att räkna på.
Uppgiften lyder:
"Svängningstiden för en plan pendel beror endast på trådens
längd. Föreställ dig att du hänger en vikt i en tråd och att du
ändrar trådens längd och för att mäta tiden för 10 perioder.
Vinkeln från vilken du släpper vikten är ca 15°. Plotta på millimeterpapper perioden, T, som funktion av roten ur trådens längd, √𝑙. Bestäm sedan, genom grafens lutning, ett värde på tyngdaccelerationen, g"
Mätvärdena är:
Trådens längd (cm) Tid för 10 perioder (s)
13,5 9,1
23,0 11,1
30,5 12,5
39,0 12,5
44,0 14,3
49,0 15,4
Så här vill läraren att vi gör, se nedan. Jag får dock inte rätt på det. y=kx+m, och då får jag y=1,745x+0,2634, vilket ger orimligt värde på g.
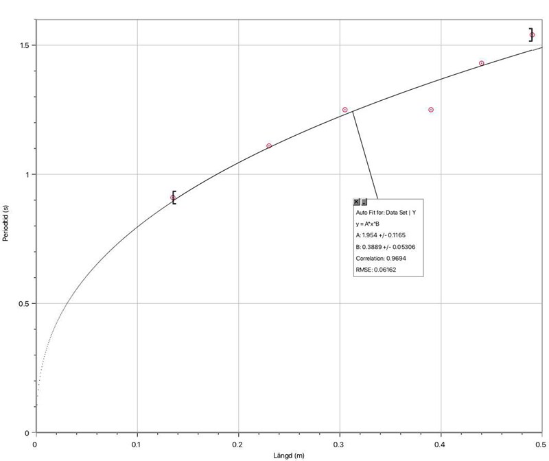
Roten ur trådens längd i meter Period T i sekunder
0,3674 0,91
0,4795 1,11
0,5522 1,25
0,6244 1,25
0,6633 1,43
0,7 1,54
Så här gjorde jag istället, se nedan. Med perioden T i kvadrat får jag y=kx+m till y=3,9851x+0,2786, vilket ger ett mkt mer rimligt värde på g
Trådens längd i meter Period T i kvadrat
0,135 0,8281
0,23 1,2321
0,305 1,5625
0,39 1,5625
0,44 2,0449
0,49 2,3716
Hur kommer det sig? Jag förstår att och g är konstanta och därmed får man sambandet men det stämmer inte i mitt diagram.Varför blir det annan lutning? (I båda diagrammen har jag T på y-axeln och l på x-axeln)
När jag sätter in till exempel T=1,25 och l=0,39 får jag g=9,853913034
Kan du lägga in diagrammen också?
Jag har försökt få in dem via excel, men det verkar inte gå. Ska rita dem på mm-papper istället och lägga in dem här, ett ögonblick!
Lyckades få in diagrammen från excel istället, blev lättare så

ger tråden en puff eftersom det gått 24 h :) skulle verkligen uppskatta hjälp om någon känner att de sitter på ett svar/vägledning!
Svaret är att när du kvadrerar minskar felet på denna mätserie vilket ger ett bättre värde på gravitationskonstanten g.
Detta gäller inte allmänt men kan tolkas baserat på m-värdet du får vid din linjärisering. Ett annat alternativ är att logaritmera:
Då får du ett mellanting mellan de två du redan gjort, eller . Men, om jag var du skulle jag helt enkelt addera origo till mätserien vilket skulle förbättra ditt resultat avsevärt i fallet för roten ur trådens längd.
Problemet med den här uppgiften är att data inte är bra. När pendeln är fyra gånger längre bör perioden vara dubbelt så stor.
Jag gjorde en kurvanpassning till en potenslag och med Logger Pro får jag 0,39 ± 0,05. Det är oförenligt med det teoretiska värdet på ½.
Uppgiften är på flera sätt sämre än att låta eleverna ta data själv...