Fjäderkonstant och totala energin

Jag har beräknat a,b och c samt att jag har facit till alla frågorna men jag har fastnat på de två sista.
Jag vet vilken formel som används för att beräkna fjäderkonstant, men där vet jag inte kraften.
Annars kan jag använd mig av formeln T=2(pi)*(roten ur m/k) och där skulle jag kunna få fram k... men jag får fram fel svar...
Någon som vet hur jag ska beräkna på dessa??
Hur ser formeln ut för att beräkna frekvensen för en harmonisk svängningsrörelse, om man vet fjäderkonstanten?
f = 1/T ??
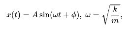
Är du med på hur en typisk form för harmonisk oscillator ser ut?
k = fjäderkonstant
m= massa
ω = vinkelfrekvens
A= amplitud
ja det är jag med på men "m" ska väl stå ovanför "K"?
Kolla dimensioner.
[k] = N/m=kg*m/s2*1/m=kg/s2
[m (massan)]=kg
[k/m] =kg/s2*1/kg=1/s2
Roten ur det blir 1/s vilket är samma dimension som frekvens.
ska jag börja med att räkna ut k med hjälp av formeln?? Förstår inte riktigt hur jag ska börja
EmmaSigne1608 skrev:ska jag börja med att räkna ut k med hjälp av formeln?? Förstår inte riktigt hur jag ska börja
Ja, du vet ju allt annat (eller kan lätt räkna fram det). Vet du vad det är för skillnad mellan vinkelfrekvens och frekvens?
vi har inte räknat med olika frekvenser... bara kunnat räkna ut frekvensen inte något alls med vinkelfrekvens
om jag nu ska använda mig av den formeln, vad ska jag då stoppa in på T?
Ska jag använda mig av att: w = 2(pi)/T och på så sätt få fram genom att ta: T= 2(pi)/60(pi) ??
Har jag fattat det rätt då? och då kan jag räkna ut mitt K...
Du skall använda formeln , sätta in värdena på och och räkna fram .
när vi har beräknat har vi inte använt precis denna formel... den har sett precis likadant ut förutom att f:et inte har varit där (alltså frekvensen)
Har det någon betydelse vilken jag använder?
EmmaSigne1608 skrev:när vi har beräknat har vi inte använt precis denna formel... den har sett precis likadant ut förutom att f:et inte har varit där (alltså frekvensen)
Har det någon betydelse vilken jag använder?
Så länge du gör rätt funkar det.
2*π*f=ω= Denna är väl smidig att använda eftersom du vet att ω är 60*π.
Emmasigne1608, det står i Pluggakutens regler att man inte får ha mer än en tråd om samma fråga. Jag har tagit bort din dubbelpost om den här frågan. /moderator