2
svar
244
visningar
triceratops behöver inte mer hjälp
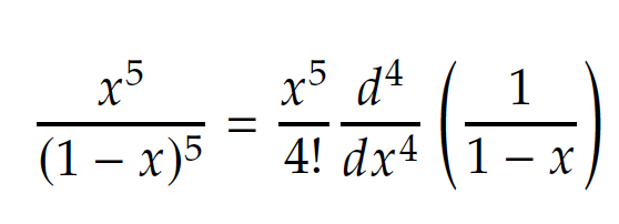
Fjärdederivatan

Enligt min kursbok bör jag snabbt kunna se att den här likheten stämmer. Men jag är väldigt ringrostig när det kommer till deriveringsregler och skulle därför uppskatta hjälp med att förstå den här likheten.
Ta en derivata i taget
f(x) = 1/(1 - x)
f'(x) = -1/(1 - x)2*(-1) = 1/(1 - x)2
f''(x) = -2/(1 - x)3*(-1) = 2/(1 - x)3
f'''(x) = ...
Såklart! Tack!