Den fjärde lösningen är x=0 precis som en av de lösningar du skrivit. Detta eftersom
Tack för detta!
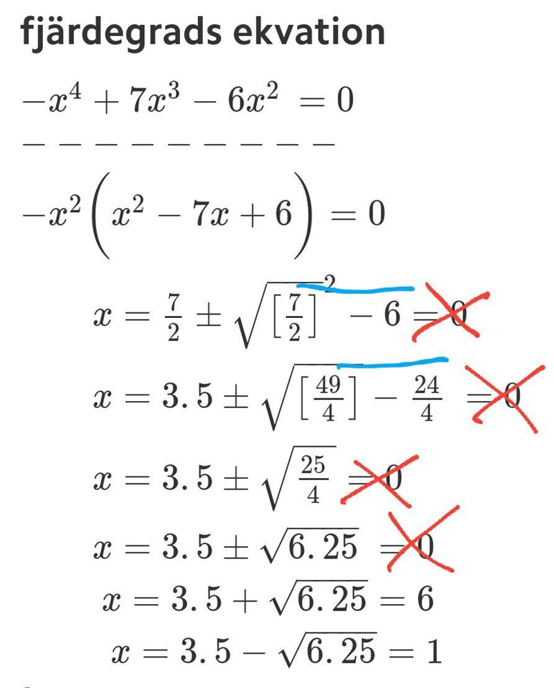
Nu börjar jag tjata på dig igen, att du ska skriva korrekta matenatiska uttryck.
1. Rottecknet ska gå hela vägen även över konstanttermen (blå markering).
2. "= 0" ska bort när du har använt pq-formeln (röd markering).

Yngve!
Jag skrev detta med formeleditor och fick inte rot tecknet bli längre än så.
Päivi skrev :Yngve!
Jag skrev detta med formeleditor och fick inte rot tecknet bli längre än så.
Du kan i formeleditorn "backa tillbaka" in under rottecknet igen med markören och skriva dit konstanttermen.
Eller också kan du skriva allt som skall vara under rottecknet, markera det och klicka på rotenur-tecknet (i formeleditorn).