2
svar
176
visningar
kemi123 behöver inte mer hjälp
Fjärdegradsekvation
Tal: 2,a
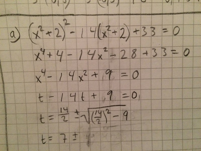
I boken så lär man sig hur man ska få ut den reella lösningen, vilket säger vad x är. Då har man också använt sig av substitutionsmetoden, som jag har lärt mig utantill.
Men nu så är det ett tal där dom vill få fram
x1=3
x2=-3
x3=1
x4=-1
När jag räknar t=x^2 så blir lösningen fel.
Vad har gjort för fel och hur ska jag tänka?


Du har gjort en miss på första parentesen.
Enligt kvadreringsreglerna är medans du fått det till .
Om du gör substitutionen får du mycket tättare siffror att jobba med.