Fler.dim, Dubbelintegral över godtyckligt område (J.Månsson 7.12)
Hej! Har inte lyckas förstå följande uppgift:

Där jag efter ha kollat på ett lösningsförslag gjort följande:


Förstår inte riktigt omskrivningen som är markerat med rött
Just de två raderna runt ditt röda streck förstår jag inte riktigt heller, men det man ska göra är att substituera t = y2+1 och sedan får man ju det som står på raden efter.
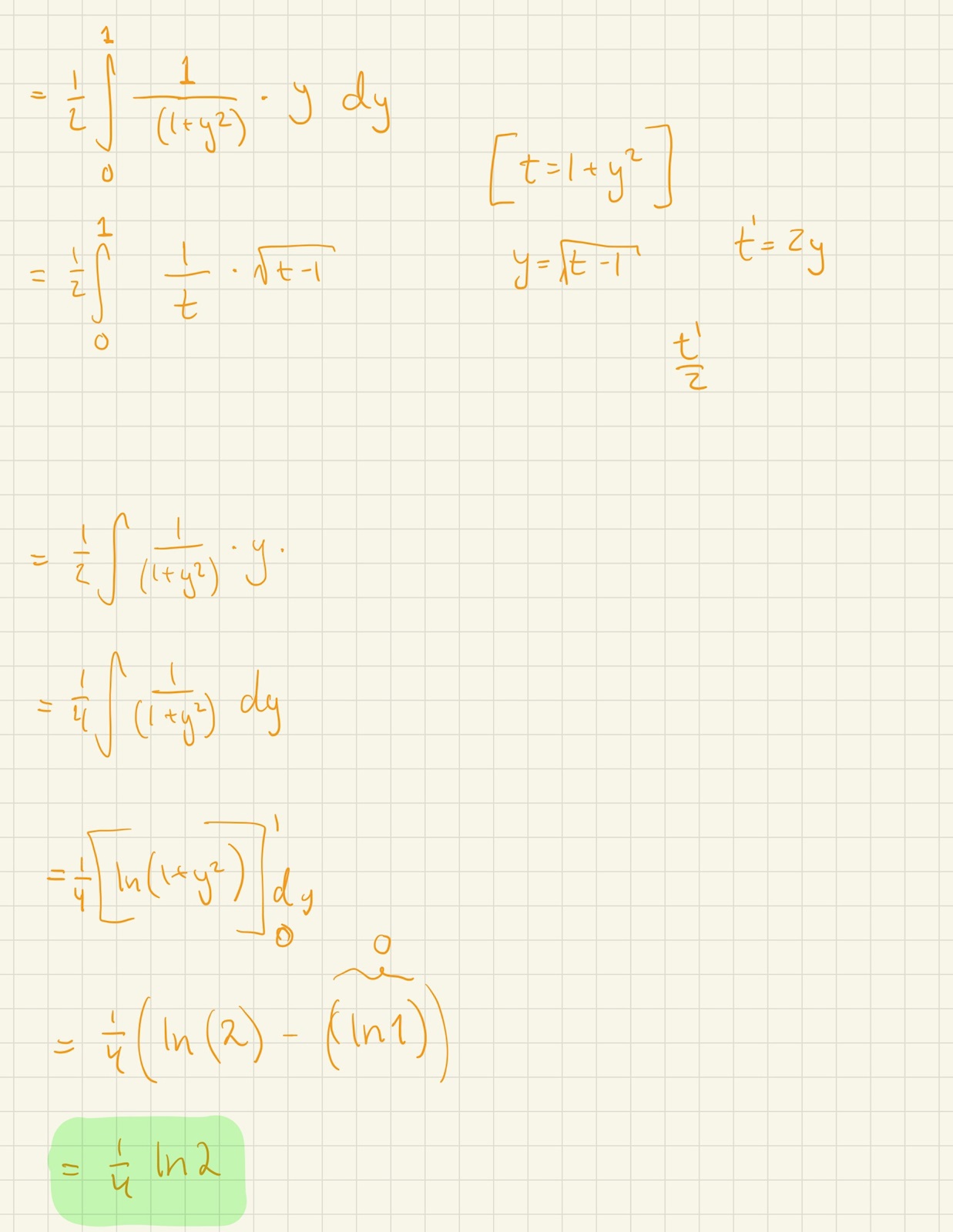
Humm... gjorde såhär:

Några steg förstår jag inte alls.
Vem är det som skriver?
ah, förlåt lämnade det gamla kvar men blir nog bara förvirrande om man gör så... Men tror jag löste det nu:

Nu ser det bra ut.
Okej! Så jag måste inte byta ut alla y till dess motsvarighet i t?
Jaha, det missade jag. Jo, du måste räkna ut gränserna för t när du integrerar över t.
Okej, så då blir det enligt det gröna i bilden?

Har du ändrat något?
Men egentligen är det rätt, eftersom du ändrar tillbaka till y innan du sätter in gränserna. Det är bara fel precis innan, för du kan inte sätta in gränserna 1 och 0 i ln(t).
ah, har skrivit med grönt i sidan av rött. Men tack ändå, då vet jag!