4
svar
128
visningar
Fler.dim, Generaliserade dubbelintegraler (J.Månsson 7.31)
Hej! Har lite problem med att lösa integrationen på följande fråga:

Där jag har gjort följande:


Där jag inte riktigt förstår hur jag ska lösa
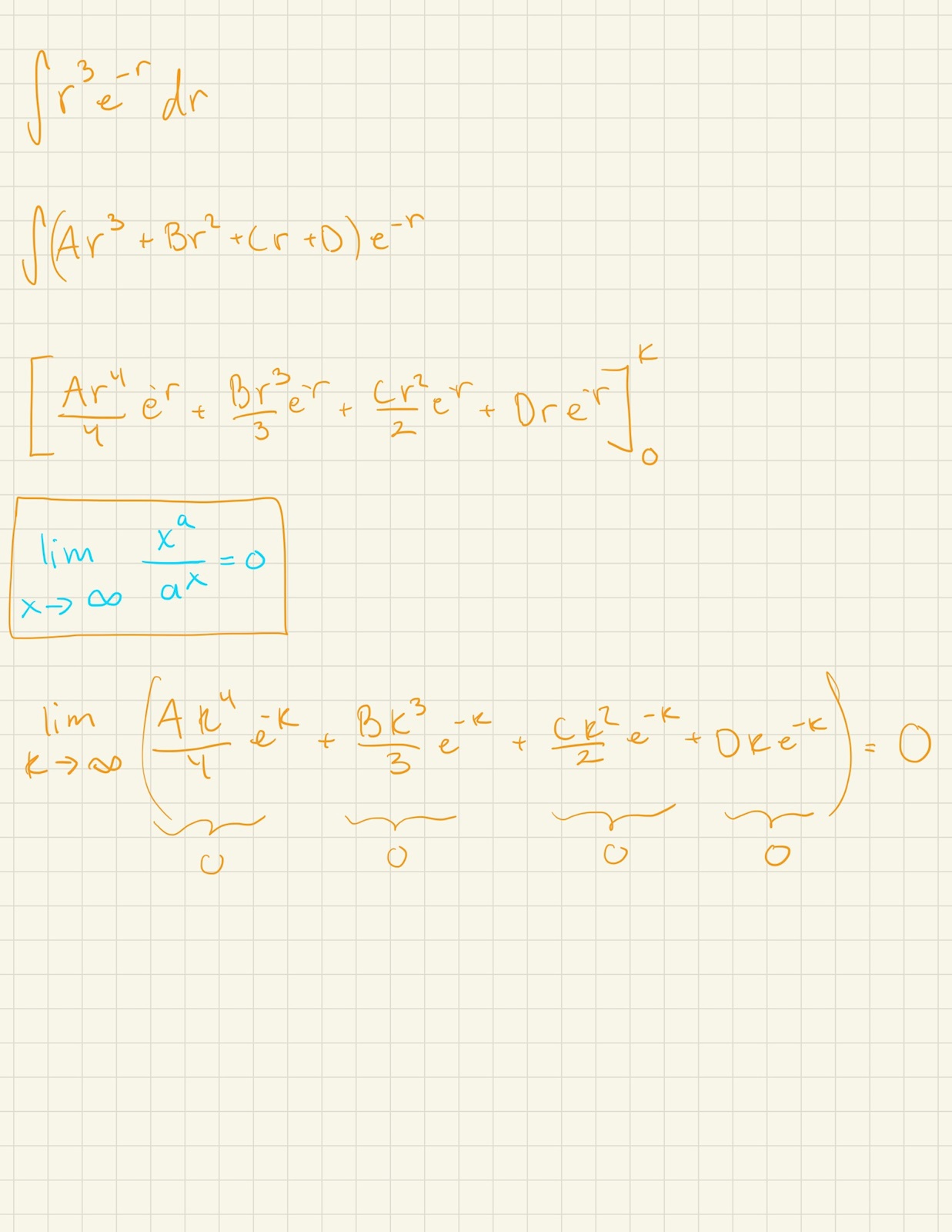
Jag skulle ansätta (Ar3+Br2+Cr+D)e-r.
Humm, okej gjort följande:

Är det rätt gjort? (Får inte samma svar som i facit :/)
Jag vet inte vad du gjorde där. Jag skulle derivera min ansats och ordna så att derivatan blev r3e-r.
Hummm.... helt ärligt känns detta jag har gjort lika osäkert:
