2
svar
137
visningar
ChocolateTerrain behöver inte mer hjälp
Fler.dim, Variabelbyte i dubbelintegral (J.Månsson 7.21)
Hej! Har lite svårt att lösa följande fråga:

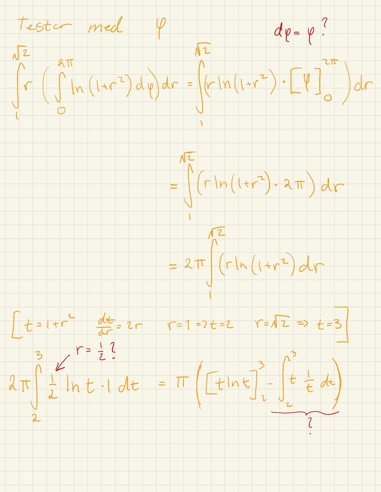
Där jag läste följande tråd och försökte följa stegen men hängde inte riktigt med jag gjorde följande:



Där det är det som är rödmarkerat som jag inte lyckas förstå...
Första röda: eftersom din funktion inte innehåller något phi, så är funktionen du integrerar 1. Jämför med int(1)dx=x+C
Andra röda: du skriver att dt/dr=2r, så du behöver dela på 2 någonstans.
Tredje röda: t*(1/t)=1
Jaha..! Tack!