1
svar
82
visningar
Flerdim.: Abs. max.-/min.punkter
Två saker som jag inte förstår i lösningen:
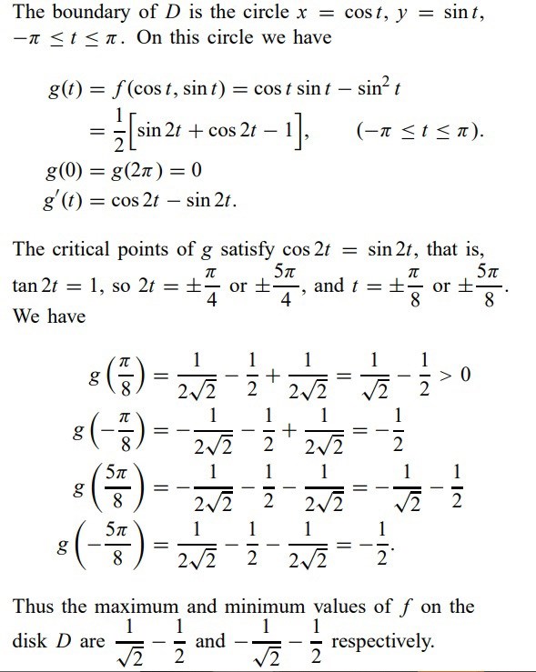
1. Varför har man begränsat t till ,?
2. Hur räknar man sig fram till att andra lösningen av t är ?
Uppg.

Lösn.

till är hela cirkeln. Vi ska bara ta ett varv av cirkeln.
tan(2t) har lösningarna 2t = och 2t = .
Varför de skriver minustecken också vet jag inte, de är inte lösningar.