Flerdim | Avbildning
Jag försöker förstå lösningen till uppgiften:
Beskriv analytiskt följande avbildningar från till
a) Vinkelrät projektion på linjen
Vad är det författaren försöker göra när han skriver ? Är inte det fel för och och inte ? Svaret stämmer överens med facit.

Hej!
På vektorform kan din räta linje skrivas
där är en riktningsvektor och är ett reellt tal (en parameter); punkten (0,0) ligger på din linje och motsvaras av parametervärdet ; punkten (-1,1) ligger också på din linje och motsvaras av parametervärdet .
Vinkelrät projektion på din räta linje är samma sak som vinkelrät projektion på riktningsvektorn , vilket ges av skalärprodukt med .
Jag förstår inte det sista stycket .Varför är det en skalärprodukt och vilken vektor ska jag projicera på min linje?
Du har valt en punkt (x,y) som skall projiceras vinkelrätt på linjen x+y = 0. För din punkt (x,y) gäller det inte att y = -x, eftersom den inte ligger på linjen.
Vi projicerar på linjens riktningsvektor
Projektionsformeln:
Det ser inte bra ut, jag tror att jag behöver fler tips.
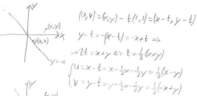
Du vill projicera en punkt (x,y) vinkelrätt på linjen x+y = 0, d v s du vill hitta punkten (v,v) (u,v) med koordinaterna (t, -t) som är sådan att en rät linje genom punkterna (x,y) och (t,-t) har riktnigskoefficienten 1.
, lös ut u = t tespektive v = -t.
Vad är (t, - t) och (v, - v)?
Det skall vara (t,-t) båda gångerna - jag skrev v från början och missade att ändra på båda ställena.
Ursäkta mig men jag är lite förrvirrad just nu. Kan vi ta det från början?
- Vi vill projicera en punkt P med koordinaterna (x,y) på en linje som vi vet har riktningskoefficienten . Stämmer det?
Varför kan vi inte använda projektionsformeln för att beräkna projektionen av (dvs ortsvektorn (x-0,y-0)=(x,y)) på riktningsvektorn för det är väl det vi är ute efter, eller?
Försök 2.0:
Projektionen av OP på riktningsvektorn r ges av:
Varför blir det fel?
Första raden på försök 2.0 ser bra ut, men vad är det du sysslar med sedan? Du vill räkna ut uttrycket utanför parentesen (koefficienten för vektorn (1,-1)) så att du ver "hur långt man skall gå åt det hållet".
I täljaren beräknas skalärprodukt två gånger.
$$ (x,y) \cdot (1,-1) \cdot (1,-1) = $$
$$ (x,y) \cdot (1 \cdot 1 + (-1) \cdot (-1)) = (x,y) \cdot (2) $$
I nämnaren beräknas längden av riktningsvektorn.
Nej. Du skriver ju själv , alltså en (krånglig) konstant gånger en vektor. Du skall alltså beräkna den krångliga konstanten för att få den koefficient som multipliceras med vektorn (1,-1). Om du vill kan du räkna om det och få fram koordinaterna (u,v). Du vill ju ha fram en funktion från till .
Jättebra förklaring! Tack!