1
svar
107
visningar
Pompan behöver inte mer hjälp
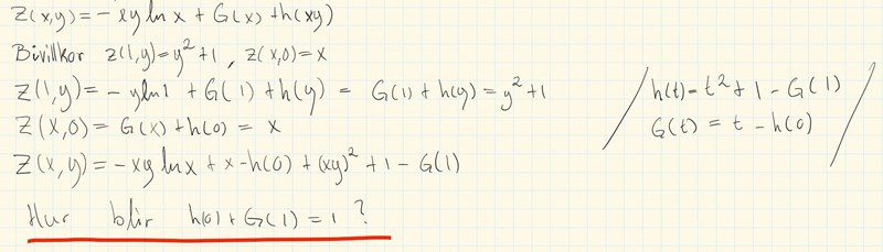
Flervar, part diff-ekv med bivillkor
Hej! Har lite svårt att första svaret i en uppgift där jag fått ledning på de sista raderna.

Kommentaren till höger är hur jag förstått att man kan sammanfoga de två bivillkoren.
Men hur h(0) + G(1) blir 1 ser jag ej.