1
svar
62
visningar
Flervariabel analys, trippelintegral
Hej, Jag sitter och pluggar trippelintegraler, men har väldigt svårt att förstå mig på hur man ska lista ut vad gränserna är. Skulle någon vilja förklara på uppgifterna nedan? Eller referera till någon bra sida.
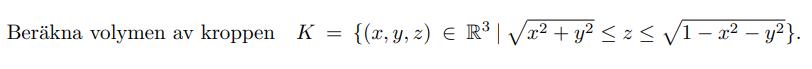
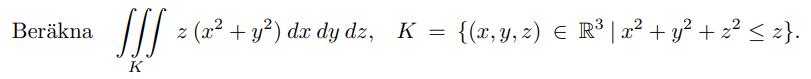
Uppgifterna:


Hej! Du integrerar över ett sfäriskt område i andra uppgiften, så jag hade testat ett byte till sfäriska koordinater. Det brukar kunna underlätta beräkningarna.