(Flervariabel) Bestäm en ekvation för tangenten
Hej!
Jag har gjort en uppgift som inte har något facit eller lösningsförslag.
Frågan lyder:

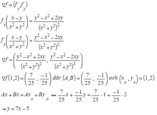
Jag tänkte först att man kanske kunde använda sig av gradienten för att hitta normalvektorn till tangenten i punkten (1,2).

y=7x-5 fick jag fram. Har jag gjort rätt?
Det är rätt rent principiellt, och jag hittar inga räknefel.
tror de vill ha tangent planet av funktionen
formeln för planet som tangerar funktionen f(x,y) i punkten (a,b) är stoppa in detta med din funktion och punkt så får vi
alltså
Kallaskull skrev:tror de vill ha tangent planet av funktionen
formeln för planet som tangerar funktionen f(x,y) i punkten (a,b) är stoppa in detta med din funktion och punkt så får vi
alltså
De vill ha tangenten till nivåkurvan som passerar (1, 2). Dvs kurvan f(x,y) = f(1,2).
Ah my bad
Tack så mycket för svaren!