Flervariabel - Bestäm största och minsta värdet
Hej! Jag sitter och försöker lösa denna uppgiften men har fastnat och får inte fram något vettigt svar.
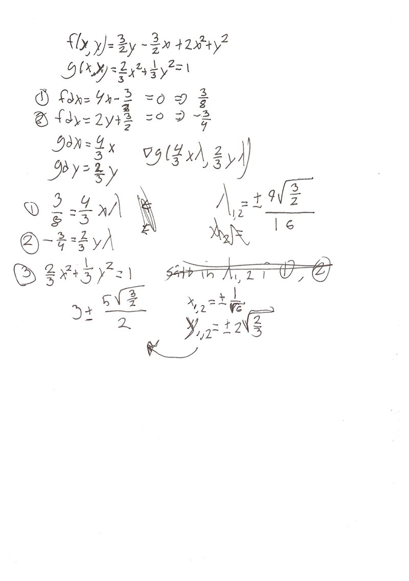
Jag har deriverat f(x,y) med avseende på både x och y och fått fram deras nollpunkter. Sedan har jag deriverat den andra funktionen (g (x,y)) på samma sätt, och infört en lambda-variabel. Sedan sätter jag *df(x) = dg(x)*lambda som en ekvation, samma sak med **df(y) = dg(y)*lambda. Som tredje ekvation använder jag g(x,y), detta ger mig värden på lambda, som jag sedan sätter in i "*" och "**" för att få ut olika x och y värden, vid insättning av dessa värden i f(x,y) trodde jag att jag skulle få fram max och min värden, men jag får tyvärr inte fram något bra svar..
Bifogar frågan och mina kladdiga anteckningar, tack


Det ser ut som att du sätter in de x och y värden för vilka de partiella derivatorna är noll i ekvationssystemet. Det ska du inte, du ska sätta in de partiella derivatorna.
Så exempelvis där du har:
så bör du ha
Smutsmunnen skrev:Det ser ut som att du sätter in de x och y värden för vilka de partiella derivatorna är noll i ekvationssystemet. Det ska du inte, du ska sätta in de partiella derivatorna.
Så exempelvis där du har:
så bör du ha
Ååh! Det förklarar en hel del, nu får jag mycket rimligare svar. Tack så mycket Smutsmunnen!