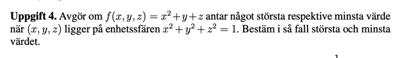
1
svar
203
visningar
fiskbullen behöver inte mer hjälp
Flervariabelanalys
Har löst denna med Lagrangevillkoret där f = och får ut två punkter med samma funktionsvärde, dvs dessa är lokala minimum, checkar även detta med den kvadratiska formen mha Hessianen.
Men sedan då? Är det bara dessa två punkter som finns eller hur kikar man på hörnpunkterna? Existerar det ens sådana?
När vi har funktionen och bivillkoret , kan det finnas extrempunkter då . Det är inte så vanligt, men det är bra att kolla där också. :)