5
svar
102
visningar
flervariabelanalys: polära koordinater i en dubbelintegral

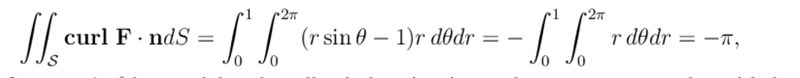
Hur blir rsin-1 till r bara?
Jag får hela svaret som -pi + 1/3 och inte bara -pi
flippainte skrev:Hur blir rsin-1 till r bara?
Det blir det inte. Minusettan finns ju kvar, utbruten. r*sinus blir noll, integrerad över en period i vinkelled.
Stämmer inte detta? Är inte cos(0)=1, varför är det inte -pi+1/3 då? 
cos(0) är förvisso 1, men det är även cos(2pi). cosinus-termerna tar med andra ord ut varandra.
Andra gränsen, då?
vet inte hur jag tänkte där haha, tack! av någon anledning trodde jag att cos(2pi)=0.