2
svar
215
visningar
Flervariabelanalys

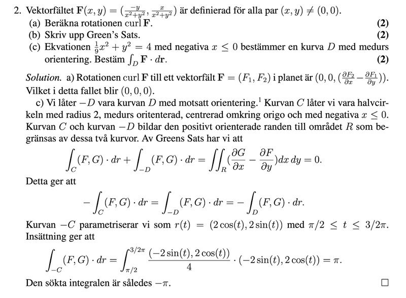
Jag förstår inte hur man få fram svaret i deluppgiften c), kan någon förklara tydligare varför ovan så visar greens formel lika med 0. Sen hur r(t)= 2 cos t, 2sin t
Att greens formel ger noll följer av vad du visade i uppgift (a). Och att området R inte innehåller singulariteten (0, 0).
r(t) = … är en standardparametrisering av en cirkel med radie 2 och centrum i origo.
PATENTERAMERA skrev:Att greens formel ger noll följer av vad du visade i uppgift (a). Och att området R inte innehåller singulariteten (0, 0).
r(t) = … är en standardparametrisering av en cirkel med radie 2 och centrum i origo.
Vad menas med att "av greens sats har vi att det blir 0"?