Flervariabelanalys: använda jacobideterminant för att bestämma gauss integral
Hej, jag minns tydligt att när man bytte koordinater för att kunna beräkna gaussintegralen så behövde man lägga till jacobideterminant som var 3x3 som innehöll partiella derivator. Nu när jag tittar på youtube verkar ingen använda någon jacobideterminant, minns jag fel? Behövs den inte?
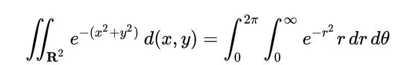
Hur menar du nu? Det traditionella skiftet till polära koordinater likt vad Siméon Denis Poisson gjorde kräver beräkning av jacobideterminanten.
Men typ när jag söker på youtube så får de rätt svar (alltså rot(pi)) utan att det finns nån jacobidet nånstans i videon.
Hm, du är med på att de använder Jacobi determinanten här:

Qetsiyah skrev:Men typ när jag söker på youtube så får de rätt svar (alltså rot(pi)) utan att det finns nån jacobidet nånstans i videon.
Kan du länka oss till dessa videor?
Det finns ett sätt att ta fram integralens värde med hjälp av rotationsvolymer. Kanske är det detta du tänker på?
Ebola skrev:Hm, du är med på att de använder Jacobi determinanten här:
Alla videos som kommer upp när jag söker "gaussian integral" gör den här omskrivningen utan nån determinant.
Du är antagligen med på att
När du byter variabler från x och y till r och phi så får du slänga in en skalfaktor r = beloppet av jacobimatrisens determinant.
Qetsiyah skrev:Ebola skrev:Hm, du är med på att de använder Jacobi determinanten här:
Alla videos som kommer upp när jag söker "gaussian integral" gör den här omskrivningen utan nån determinant.
Alla videos tycker att den omskrivningen är så självklar att de inte bryr sig om att nämna att den använder sig av Jacobii-determinanten.
Dr. G skrev:Du är antagligen med på att
När du byter variabler från x och y till r och phi så får du slänga in en skalfaktor r = beloppet av jacobimatrisens determinant.
Öh... jaa... men uppenbarligen inte?
Smaragdalena skrev:Alla videos tycker att den omskrivningen är så självklar att de inte bryr sig om att nämna att den använder sig av Jacobii-determinanten.
Men så får man väl inte göra? Vadå den är självklar? Den är väl inte alls självklar? Den kostade mig en kvart att räkna ut på den mattelektionen
Qetsiyah skrev:Smaragdalena skrev:Alla videos tycker att den omskrivningen är så självklar att de inte bryr sig om att nämna att den använder sig av Jacobii-determinanten.
Men så får man väl inte göra? Vadå den är självklar? Den är väl inte alls självklar? Den kostade mig en kvart att räkna ut på den mattelektionen
Det är väl lika självklart som att derivatan av sin(x) är cos(x). Använder du derivatans definition varje gång och bestämmer gränsvärdet för sinc-funktionen med squeeze-argument? Det låter omständligt.
Ebola skrev:Det är väl lika självklart som att derivatan av sin(x) är cos(x). Använder du derivatans definition varje gång och bestämmer gränsvärdet för sinc-funktionen med squeeze-argument? Det låter omständligt.
Njaeeneeeee det gör jag väl inte.
Men det var ju tråkigt, den enda gången jag kom i kontakt med jacobi var i onödan också.
Det variabelbytet är en uträkning man gör en gång och sen memorerar, eftersom man använder just det variabelbytet ofta. Det sparar så mycket tid.
Qetsiyah skrev:Men det var ju tråkigt, den enda gången jag kom i kontakt med jacobi var i onödan också.
Inte alls. För mer exotiska variabelbyten så är det ingen vits med att memorera hur area-/volymselementet ser ut i de nya variablerna, utan du får räkna ut det från jacobianens determinant.
För mer vanligt förekommande variabelbyten (polära koordinater, sfäriska koordinater, etc) så är det bara att memorera. (Om man glömmer så är det bara att räkna ut determinanten igen.)
Okej, jag väntar ivrigt tills den dagen kommer, då jag får räkna ut en jabcobidet för en riktigt exotisk rackare
Einstein är rätt glad att han till slut fick ordning på sin Jacobian, det var nämligen en av nyckelpusselbitarna som till en början fattades i jakten på hans fältekvationer. Den lilla faktorn är nämligen Jacobianen som såg till att fältekvationerna gällde oberoende av valet av koordinatsystem (på engelska kallar vi det general covariance).
Detta är så klart jätteviktigt eftersom fysikens lagar fundamentalt måste gälla för alla observatörer, oberoende av varandra.