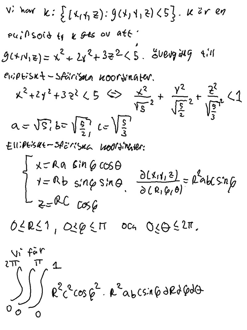
Flervariabelanalys: Byte till elliptiskt-sfäriska koordinater: slarv eller feltänk?
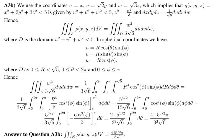
Hej! Jag försöker lösa denna uppgift (b)-uppgiften). Förstår hur facit gör och tycker att det är högst rimligt. Jag använde däremot ett annat koordinatbyte- elliptiskt-sfäriska koordinater, som om jag minns rätt uttrycks som jag gjorde nedan. Däremot får jag inte samma svar som facit, jag får en drygt 6 gånger större integral om jag sätter i värdena på ,,. Vad gör jag för fel?
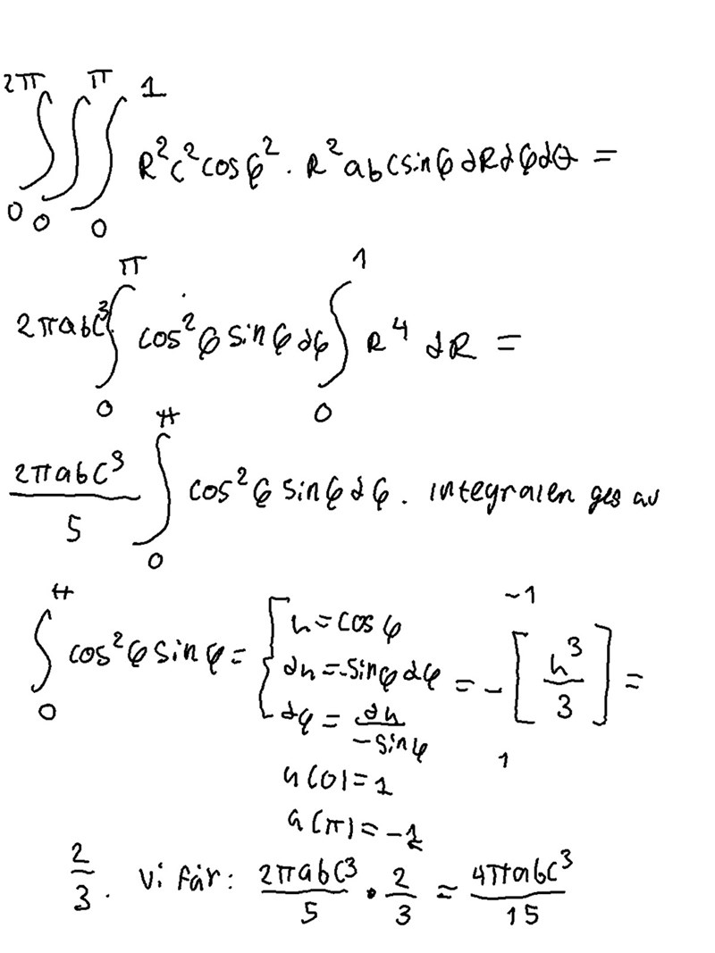
Nedan följer uppgiften samt mina lösningar. Observera att jag kanske kunde varit lite tydligare där jag skrev "integralen ges av..." på andra bilden, det är en kort tankepaus där jag beräknar trig-integralen för sig. Jag infogar det svaret tillsammans med de andra numeriska värdena från övriga integraler i trippelintegralen på slutet.



